М
Молодежь
К
Компьютеры-и-электроника
Д
Дом-и-сад
С
Стиль-и-уход-за-собой
П
Праздники-и-традиции
Т
Транспорт
П
Путешествия
С
Семейная-жизнь
Ф
Философия-и-религия
Б
Без категории
М
Мир-работы
Х
Хобби-и-рукоделие
И
Искусство-и-развлечения
В
Взаимоотношения
З
Здоровье
К
Кулинария-и-гостеприимство
Ф
Финансы-и-бизнес
П
Питомцы-и-животные
О
Образование
О
Образование-и-коммуникации
egorkian
egorkian
01.10.2021 20:46 •  Алгебра

Сумма бесконечности убывающей прогрессии равна 32 а сумма ее первых пяти членов -31 найдите первый член прогрессий

👇
Ответ:
lilichka0109
lilichka0109
01.10.2021
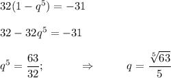
Сумма бесконечно убывающей геометрической прогрессии имеет вид: S= \dfrac{b_1}{1-q} и равна она 32. Сумма первых пяти членов равна S_5= \dfrac{b_1(1-q^5)}{1-q}, что составляет -31.

Решив систему уравнений: \displaystyle \left \{ {{\dfrac{b_1}{1-q} =32} \atop {\dfrac{b_1(1-q^5)}{1-q} =-31}} \right.

32(1-q^5)=-31\\ \\ 32-32q^5=-31\\ \\ q^5= \dfrac{63}{32} ;~~~~~~~~~\Rightarrow~~~~~~~~ q= \dfrac{ \sqrt[5]{63} }{5}

Окончательно имеем: b_1=32(1-q)=32\cdot\bigg(1- \dfrac{ \sqrt[5]{63} }{5} \bigg)=32- \dfrac{32 \sqrt[5]{63} }{5}
4,8(95 оценок)
Открыть все ответы
Ответ:
miha115
miha115
01.10.2021
Для начала, можно посмотреть несколько последовательных степеней двойки:
1       2
2      4
3      8
4     16
5    32
6    64
7   128
8  256
9   512
Как видим, последняя цифра меняется так:  2, 4, 8, 6.
А далее эта последовательность повторяется. То есть имеем повторяющуюся последовательность из четырёх цифр.
Чтобы понять, на какую из этих цифр заканчивается 2^2015, мы разделим 2015 на 4.    Получим 503 и остаток 3.

Чтобы далее было понятно, рассмотрим варианты:
1) если бы разделилось нацело (как, например, четвёртая степень), то число бы оканчивалось на шесть (смотри выше посчитанные степени)
2) если был бы остаток 1 (как, например, для пятой степени), то число бы оканчивалось на 2
3) если был бы остаток 2 (как, например, для шестой степени), то число бы оканчивалось на 4
4) а если остаток 3 (как, например, для седьмой степени), то число будет оканчиваться на 8

Соответственно, последняя цифра числа 2^2015  будет восемь.
4,4(19 оценок)
Ответ:
mayte
mayte
01.10.2021
А) Складываем отношения углов: 1+2+3=6
Составляем пропорцию:
6=180град.    (т.к. сумма углов треугольника = 180 град.)
1=Х град.       (1 здесь мера угла 1)
Отсюда, Х=180 : 6 = 30 (град), т.е. угол 1 = 30 град.
ответ: угол 1 = 30 градусов

Б) Сумма внешних углов треугольника, взятых по одному при каждой вершине, равна 360 град. Т.к. углы 5 + 6 = 220 град., то 360 - 220 = 140 (град) - это градусная мера внешнего угла 4 при вершине А. Отсюда, угол 1 = 180 град. - угол 4 = 180 - 140 = 40 (град.) - градусная мера угла 1 (т.к. угол 4 и угол 1 - смежные).
ответ: угол 1 = 40 градусов
4,5(40 оценок)
Это интересно:
logo
Вход Регистрация
Что ты хочешь узнать?
Спроси Mozg
Открыть лучший ответ