М
Молодежь
К
Компьютеры-и-электроника
Д
Дом-и-сад
С
Стиль-и-уход-за-собой
П
Праздники-и-традиции
Т
Транспорт
П
Путешествия
С
Семейная-жизнь
Ф
Философия-и-религия
Б
Без категории
М
Мир-работы
Х
Хобби-и-рукоделие
И
Искусство-и-развлечения
В
Взаимоотношения
З
Здоровье
К
Кулинария-и-гостеприимство
Ф
Финансы-и-бизнес
П
Питомцы-и-животные
О
Образование
О
Образование-и-коммуникации
Lesya1704
Lesya1704
16.05.2020 02:35 •  Алгебра

Найдите биквадратное уравнение х4-20х2 +64=0

👇
Ответ:
найксон
найксон
16.05.2020
x^4-20x^2+64=0\\x^2=t\\t^2-20t+64=0\\D_1=100-64=36\\x_1=10-6=4\\x_2=10+6=16\\x^2=4\\x=2\\x=-2\\x^2=16\\x=-4\\x=4
4,4(82 оценок)
Ответ:
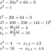
x^4-20x^2+64=0\\ x^2=t \\ \\ t^2-20t+64=0 \\ D=400-256=144=12^2 \\ t_1= \frac{20-12}{2}=4 \\ t_2= \frac{20+12}{2}=16 \\ \\ x^2=4 \ \ \to \ x_{1,2}= б 2\\ x^2=16 \ \ \to \ x_{3,4}= б 4

ответ: х=-4, х=-2, х=2, х=4
4,8(49 оценок)
Открыть все ответы
Ответ:
ggghh99
ggghh99
16.05.2020

ответ:246913578                                                                                                                                             Обьяснение:                                                                                                                                                                                                                                                                                                                                                                                                                 

4,8(53 оценок)
Ответ:
ANT1XA1P
ANT1XA1P
16.05.2020
Пусть a, b - данные числа. Имеем систему уравнений (сразу занумерую их, но Вы сначала напишите под знаком системы):
a - b = 19 (1)
a^2 - b^2 = 627 (2)
(2) можно представить в виде (a - b)(a + b) = 627 - по формуле сокращенного умножения. a - b мы уже знаем из первого уравнения, это 19, то есть 19*(a + b) = 627, a + b = 33.
Тогда a = 33 - b, поставим в (1): 33 - b - b = 19, b = 7. Значит, a = 26.
ответ: 7; 26.
Система с нормальным оформлением в приложении. Не забудьте уточнить, что a и b - данные числа.
40 решите с составления уравнения. разность двух чисел равна 19, а разность их квадратов - 627. найд
4,7(68 оценок)
Это интересно:
Новые ответы от MOGZ: Алгебра
logo
Вход Регистрация
Что ты хочешь узнать?
Спроси Mozg
Открыть лучший ответ