М
Молодежь
К
Компьютеры-и-электроника
Д
Дом-и-сад
С
Стиль-и-уход-за-собой
П
Праздники-и-традиции
Т
Транспорт
П
Путешествия
С
Семейная-жизнь
Ф
Философия-и-религия
Б
Без категории
М
Мир-работы
Х
Хобби-и-рукоделие
И
Искусство-и-развлечения
В
Взаимоотношения
З
Здоровье
К
Кулинария-и-гостеприимство
Ф
Финансы-и-бизнес
П
Питомцы-и-животные
О
Образование
О
Образование-и-коммуникации
EnglishGod
EnglishGod
07.03.2021 03:30 •  Алгебра

Найдите среднее арифметическое всех корней уравнения cos^2x+sinx*cosx=1, принадлежащих промежутку (-пи до пи) включительно

👇
Ответ:
onaleman
onaleman
07.03.2021
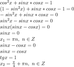
Решаем уравнение:
cos^2x+sinx*cosx=1
\\(1-sin^2x)+sinx*cosx-1=0
\\-sin^2x+sinx*cosx=0
\\sin^2x-sinx*cosx=0
\\sinx(sinx-cosx)=0
\\sinx=0
\\x_1=\pi n,\ n \in Z
\\sinx-cosx=0
\\sinx=cosx
\\tgx=1
\\x_2= \frac{\pi}{4} +\pi n,\ n \in Z
проводим отбор корней на промежутке [-\pi;\pi]
решаем равенство для 1 корня:
-\pi \leq \pi n \leq \pi
\\-1 \leq n \leq 1
отсюда нам подойдет n=-1; n=0; n=1 - 3 корня
n=-1;\ x= -\pi
\\n=0;\ x=0;
\\n=1;\ x=\pi
решим еще одно неравенство для 2 корня:
-\pi \leq \frac{\pi}{4} +\pi n \leq \pi
\\-1 \leq \frac{1}{4}+n \leq 1 
\\-4 \leq 4n+1 \leq 4
\\-5 \leq 4n \leq 3
\\-1,25 \leq n \leq 0,75
отсюда нам подойдет n=-1; n=0 - 2 корня
n=-1;\ x=\frac{\pi}{4} -\pi= -\frac{3\pi}{4} 
\\n=0;\ x=\frac{\pi}{4}
ищем среднее арифметическое:
\frac{-\pi+0+\pi-\frac{3\pi}{4}+\frac{\pi}{4}}{5} = \frac{- \frac{\pi}{2} }{5} =- \frac{\pi}{10}
ответ: - \frac{\pi}{10}
4,8(62 оценок)
Открыть все ответы
Ответ:
violettapolen95
violettapolen95
07.03.2021
Повозившись немного с выделением полного куба, можно заметить, что здесь выделяется множитель х+у+8, поэтому уравнение можно переписать в виде (x+y+8)((2x-y-8)²+3(y-8)²)=0.
Проверяется это раскрытием скобок и делением всего уравнения на 4.
Отсюда следует, что либо у=8, х=8, либо х+у=-8. Т.к. х, у - натуральные, то второе невозможно, поэтому наибольшее значение х+у=8+8=16.

По неравенству о средних при любых х,у≥0 получим
(x³+y³+8³)/3≥∛(8³x³y³)=8xy. Равенство в неравенстве о средних достигается только при х=у=8. Значит x+у=8+8=16.
4,5(77 оценок)
Ответ:
ksenia20062
ksenia20062
07.03.2021
Повозившись немного с выделением полного куба, можно заметить, что здесь выделяется множитель х+у+8, поэтому уравнение можно переписать в виде (x+y+8)((2x-y-8)²+3(y-8)²)=0.
Проверяется это раскрытием скобок и делением всего уравнения на 4.
Отсюда следует, что либо у=8, х=8, либо х+у=-8. Т.к. х, у - натуральные, то второе невозможно, поэтому наибольшее значение х+у=8+8=16.

По неравенству о средних при любых х,у≥0 получим
(x³+y³+8³)/3≥∛(8³x³y³)=8xy. Равенство в неравенстве о средних достигается только при х=у=8. Значит x+у=8+8=16.
4,6(8 оценок)
logo
Вход Регистрация
Что ты хочешь узнать?
Спроси Mozg
Открыть лучший ответ