М
Молодежь
К
Компьютеры-и-электроника
Д
Дом-и-сад
С
Стиль-и-уход-за-собой
П
Праздники-и-традиции
Т
Транспорт
П
Путешествия
С
Семейная-жизнь
Ф
Философия-и-религия
Б
Без категории
М
Мир-работы
Х
Хобби-и-рукоделие
И
Искусство-и-развлечения
В
Взаимоотношения
З
Здоровье
К
Кулинария-и-гостеприимство
Ф
Финансы-и-бизнес
П
Питомцы-и-животные
О
Образование
О
Образование-и-коммуникации
Marina1023
Marina1023
04.01.2023 08:28 •  Алгебра

Выполни умножение: (z−5)(12z+1)(4z−12)

👇
Ответ:
Лера22062004
Лера22062004
04.01.2023
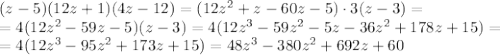
(z-5)(12z+1)(4z-12)= (12z^2 +z - 60z -5)\cdot 3(z-3)=\\
=4(12z^2 - 59z -5)(z-3) = 4(12z^3 - 59z^2 -5z -36z^2 +178z +15)=\\
= 4(12z^3 - 95z^2 +173z+15) = 48z^3 -380z^2 +692z+60
4,4(23 оценок)
Открыть все ответы
Ответ:
ghujftu
ghujftu
04.01.2023
У нас есть прямая АВ, наша цель: построить точку О, лежащую на прямой АВ или построить равнобедренный прямоугольный треугольник ОВС (угол С -прямой), угол ОВС (=углу АВС=45°), катеты ОС=ВС=1.
1) из точки В построить перпендикуляр к АВ (ВР_|_АВ)
2) построить биссектрису угла АВР -луч ВС (т.е. угол АВС=45°)
и теперь, если мы построим угол ВАС=180°-(135/2)°, то отрезок ВС будет равен единичному отрезку ОА=ОС=ВС, т.е. мы строим вс треугольник АВС, который вместе с равнобедренным треугольником АОС даст прямоугольный равнобедренный треугольник ОАС с катетами, равными 1.
3) из точки А построить перпендикуляр к АВ (АК_|_АВ)
4) построить биссектрису угла, смежного углу ВАК, -луч АТ (АТ||ВС)
5) построить биссектрису угла ТАК - этот луч пересечётся с ВС, пересечение и обозначим точкой С.
Построенный отрезок ВС и есть единичный отрезок, осталось отложить его циркулем от точки А и проверить циркулем, что и ОС=ОА=ВС
4,5(71 оценок)
Ответ:
масяня155
масяня155
04.01.2023

42,5 ( 11 задание)

Объяснение:

80л=100%

x   =65%  

80*65/100=50л - это мы нашли сколько литров заполнено бензином

50л=100%

x= 25%

50*25/100=12,5- мы нашли то сколько было израсходовано

50,0-12,5= 37,5 - ( взяли то сколько было бензина в баке(50,0) и вычли сколько израсходавано(12,5) и получили сколько Сейчас бензина в баке (37,5))

А нам нужно узнать сколько не хватает чтоб дополнить бак , то-есть сейчас у нас 37,5 бензина , а бак вмещает 80 литров. Значит 80,0-37,5 =42,5 - мы нашли то насколько бензина не хватает в баке . Все очень легко , надеюсь все понятно объяснила

4,5(88 оценок)
Это интересно:
logo
Вход Регистрация
Что ты хочешь узнать?
Спроси Mozg
Открыть лучший ответ