М
Молодежь
К
Компьютеры-и-электроника
Д
Дом-и-сад
С
Стиль-и-уход-за-собой
П
Праздники-и-традиции
Т
Транспорт
П
Путешествия
С
Семейная-жизнь
Ф
Философия-и-религия
Б
Без категории
М
Мир-работы
Х
Хобби-и-рукоделие
И
Искусство-и-развлечения
В
Взаимоотношения
З
Здоровье
К
Кулинария-и-гостеприимство
Ф
Финансы-и-бизнес
П
Питомцы-и-животные
О
Образование
О
Образование-и-коммуникации
nikolesyas
nikolesyas
04.06.2022 10:59 •  Алгебра

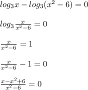
Решите уравнение ! ㏒₃x - ㏒₃(x² - 6)=0

👇
Ответ:
polishuklekha2
polishuklekha2
04.06.2022
ОДЗ: 1) x > 0               2) x² - 6 > 0
                                        (x - √6 )(x + √6 ) > 0
                                             +                -                +
                                        _______________________
                                                     -√6               √6
ОДЗ : x ∈ ( √6 ; + ∞)      

log _{3}x-log _{3} ( x^{2} -6)=0\\\\log _{3} \frac{x}{ x^{2} -6} =0\\\\ \frac{x}{ x^{2} -6} =1\\\\ \frac{x}{ x^{2} -6} -1=0\\\\ \frac{x- x^{2} +6}{ x^{2} -6} =0

- x² + x + 6 = 0                 x² - 6 ≠ 0
x² - x - 6 = 0
D = (-1)² - 4 * 1 * (- 6) = 1+24 = 25 = 5²
x _{1} = \frac{1+5}{2} =3\\x _{2}= \frac{1-5}{2}= - 2
x = - 2 - не подходит
ответ: 3
4,6(12 оценок)
Ответ:
Alina2007203
Alina2007203
04.06.2022
log_3x-log_3(x^2-6)=0\; ,\\\\ODZ:\; \left \{ {{x\ \textgreater \ 0} \atop {x^2-6\ \textgreater \ 0}} \right. \; \left \{ {{x\ \textgreater \ 0} \atop {(x-\sqrt6)(x+\sqrt6)\ \textgreater \ 0}} \right. \; \; \to \; \; x\in (\sqrt6,+\infty )\\\\log_3x=log_3(x^2-6)\; \; \Rightarrow \; \; \; x=x^2-6\\\\x^2-x-6=0\\\\x_1=-2\notin ODZ\; ,\; \; x_2=3\; \; \; (teorema\; Vieta)\\\\Otvet:\; \; x=3\; .
4,4(94 оценок)
Открыть все ответы
Ответ:
alinalera71
alinalera71
04.06.2022
#171.
Соединим точки М и Е отрезком МЕ, а точки К и А отрезком КА.
Рассмотрим четырехугольник КLEM. В нём точкой пересечения F
диагонали KE и LM делятся пополам: КF=FE (по условию задачи) 
и LF=FM (КF - медиана треугольника KLM). 
Следовательно, этот четырёхугольник - параллелограмм и КМ║LE.
Рассмотрим четырёхугольник KALM. В нём точкой пересечения D диагонали AM и KL делятся пополам: DA=MD (по условию задачи) и
KD=DL (MD - медиана треугольника KLM).
Следовательно, этот четырёхугольник - параллелограмм и KM║AL.
Так как LM и AL║KM, отрезок А(L)Е║КМ, а точки A, L, E ∈ прямой АЕ.
#174.
Проведём через точку О (середина отрезка CD) прямые FN и EM (Точки F и M лежат на прямой m, а точки E и N лежат на прямой n).
Рассмотрим ΔСОМ и ΔЕОD. ∠COM=∠EOD (как вертикальные) ∠OED=∠CMO 
(как накрест лежащие) и CO=OD (по условию задачи) ⇒ ΔCOM=ΔEOD. 
Поэтому OV=OE. Аналогично рассмотрев ΔCOF и ΔNOD доказываем их равенство. Поэтому OF =ON.
4,4(92 оценок)
Ответ:
strizhnevan
strizhnevan
04.06.2022
#171.
Соединим точки М и Е отрезком МЕ, а точки К и А отрезком КА.
Рассмотрим четырехугольник КLEM. В нём точкой пересечения F
диагонали KE и LM делятся пополам: КF=FE (по условию задачи) 
и LF=FM (КF - медиана треугольника KLM). 
Следовательно, этот четырёхугольник - параллелограмм и КМ║LE.
Рассмотрим четырёхугольник KALM. В нём точкой пересечения D диагонали AM и KL делятся пополам: DA=MD (по условию задачи) и
KD=DL (MD - медиана треугольника KLM).
Следовательно, этот четырёхугольник - параллелограмм и KM║AL.
Так как LM и AL║KM, отрезок А(L)Е║КМ, а точки A, L, E ∈ прямой АЕ.
#174.
Проведём через точку О (середина отрезка CD) прямые FN и EM (Точки F и M лежат на прямой m, а точки E и N лежат на прямой n).
Рассмотрим ΔСОМ и ΔЕОD. ∠COM=∠EOD (как вертикальные) ∠OED=∠CMO 
(как накрест лежащие) и CO=OD (по условию задачи) ⇒ ΔCOM=ΔEOD. 
Поэтому OV=OE. Аналогично рассмотрев ΔCOF и ΔNOD доказываем их равенство. Поэтому OF =ON.
4,8(70 оценок)
Это интересно:
logo
Вход Регистрация
Что ты хочешь узнать?
Спроси Mozg
Открыть лучший ответ