 
                                                 
                                                Объяснение:
35³ = ( 30 + 5 )³ = 30³ + 3·30²·5 + 3·30·5² +5³ = 27000 + 3·900·5 + 3·30·25 + 125 = 27000 + 13500 + 2250 + 125 = 42875
12, 1³ = ( 12 + 0,1)³ = 12³ + 3·12²·0,1 + 3·12·0,1² + 0, 1³ = 1728 + 3·144·0,1 + 3·12·0,01 + 0, 001 = 1728 + 43,2 + 0,36 + 0,001 = 1771,561
52³ = ( 50 + 2 ) ³ = 50³ + 3·50²·2 + 3·50·2² + 2³ = 125000 + 3·2500·2 + 3·50·4 + 8 = 125000 + 15000 + 600 + 8 = 140608
43³ = ( 40 + 3 )³ = 40³ + 3·40²·3 + 3·40·3² + 3³ = 64000 + 3·1600·3 + 3·40·9 + 27 = 64000 + 14400 + 1080 + 27 = 79507
20,01³ = ( 20 + 0,01 )³ = 20³ + 3·20²·0,01 + 3·20·0,01² + 0,01³ = 8000 + 3·400·0,01 + 3·20·0,0001 + 0,000001 = 8000 + 12 + 0,006 + 0,000001 = 8012,006001
 
                                                Объяснение:
35³ = ( 30 + 5 )³ = 30³ + 3·30²·5 + 3·30·5² +5³ = 27000 + 3·900·5 + 3·30·25 + 125 = 27000 + 13500 + 2250 + 125 = 42875
12, 1³ = ( 12 + 0,1)³ = 12³ + 3·12²·0,1 + 3·12·0,1² + 0, 1³ = 1728 + 3·144·0,1 + 3·12·0,01 + 0, 001 = 1728 + 43,2 + 0,36 + 0,001 = 1771,561
52³ = ( 50 + 2 ) ³ = 50³ + 3·50²·2 + 3·50·2² + 2³ = 125000 + 3·2500·2 + 3·50·4 + 8 = 125000 + 15000 + 600 + 8 = 140608
43³ = ( 40 + 3 )³ = 40³ + 3·40²·3 + 3·40·3² + 3³ = 64000 + 3·1600·3 + 3·40·9 + 27 = 64000 + 14400 + 1080 + 27 = 79507
20,01³ = ( 20 + 0,01 )³ = 20³ + 3·20²·0,01 + 3·20·0,01² + 0,01³ = 8000 + 3·400·0,01 + 3·20·0,0001 + 0,000001 = 8000 + 12 + 0,006 + 0,000001 = 8012,006001
 
                                                 
                                                 
                                                 
                                                 
                                                
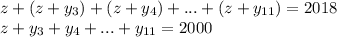
Пусть y₁, y₃, y₄, ..., y₁₁ - расстояния от 2-ой точки до 1, 3, 4, ..., 11.
Заметим:
х₂=y₁=z - искомое расстояние между 1 и 2 точками
х₃=z+y₃
х₄=z+y₄
...
х₁₁=z+y₁₁
Распишем заданные суммы:
Преобразуем:
Из первого выражения вычтем второе:
ответ: 2