М
Молодежь
К
Компьютеры-и-электроника
Д
Дом-и-сад
С
Стиль-и-уход-за-собой
П
Праздники-и-традиции
Т
Транспорт
П
Путешествия
С
Семейная-жизнь
Ф
Философия-и-религия
Б
Без категории
М
Мир-работы
Х
Хобби-и-рукоделие
И
Искусство-и-развлечения
В
Взаимоотношения
З
Здоровье
К
Кулинария-и-гостеприимство
Ф
Финансы-и-бизнес
П
Питомцы-и-животные
О
Образование
О
Образование-и-коммуникации
sofafomenkosofa
sofafomenkosofa
11.06.2020 06:22 •  Алгебра

Решить интеграл (4x-1)/(x^(2)-8x+25)

👇
Ответ:
zdima2939
zdima2939
11.06.2020
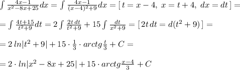
\int \frac{4x-1}{x^2-8x+25}dx=\int \frac{4x-1}{(x-4)^2+9}dx=[\, t=x-4,\; x=t+4,\; dx=dt\, ]=\\\\=\int \frac{4t+15}{t^2+9}dt=2\int \frac{2t\, dt}{t^2+9}+15\int \frac{dt}{x^2+9}=[\, 2t\, dt=d(t^2+9)\, ]=\\\\=2\, ln|t^2+9|+15\cdot \frac{1}{3}\cdot arctg\frac{t}{3}+C=\\\\=2\cdot ln|x^2-8x+25|+15\cdot arctg \frac{x-4}{3}+C
4,6(7 оценок)
Открыть все ответы
Ответ:
fawnsvalley
fawnsvalley
11.06.2020

b = AD = AE + EF +FD

Мы знаем, что:

AE = FD;

EF = BC = 7 см.

Получаем:

b = AD = 2 * AE + BC (2)

Найдем длину отрезка AE. Рассмотрим прямоугольный треугольник ABE. Мы знаем, что угол А = 60 градусов следовательно угол B будет равен 30 градусов. Из свойств прямоугольного треугольника мы знаем, что катет лежащий напротив угла в 30 градусов равен половине гипотенузы. То есть в нашем случае:

AE = 1/2 * AB

Из условия мы знаем, что AB = 8 см. Тогда:

AE = 1/2 * AB = 1/2 * 8 = 4 см.

Вернемся к формуле (2):

b = AD = 2 * AE + BC = 2*4 + 7 = 8 + 7 = 15 см

Средняя линия трапеции (1):

m = (a + b) / 2 = (7 + 15) / 2 = 22 / 2 = 11 см

Объяснение:

4,5(15 оценок)
Ответ:
умняшка220
умняшка220
11.06.2020

b = AD = AE + EF +FD

Мы знаем, что:

AE = FD;

EF = BC = 7 см.

Получаем:

b = AD = 2 * AE + BC (2)

Найдем длину отрезка AE. Рассмотрим прямоугольный треугольник ABE. Мы знаем, что угол А = 60 градусов следовательно угол B будет равен 30 градусов. Из свойств прямоугольного треугольника мы знаем, что катет лежащий напротив угла в 30 градусов равен половине гипотенузы. То есть в нашем случае:

AE = 1/2 * AB

Из условия мы знаем, что AB = 8 см. Тогда:

AE = 1/2 * AB = 1/2 * 8 = 4 см.

Вернемся к формуле (2):

b = AD = 2 * AE + BC = 2*4 + 7 = 8 + 7 = 15 см

Средняя линия трапеции (1):

m = (a + b) / 2 = (7 + 15) / 2 = 22 / 2 = 11 см

Объяснение:

4,4(7 оценок)
Это интересно:
Новые ответы от MOGZ: Алгебра
logo
Вход Регистрация
Что ты хочешь узнать?
Спроси Mozg
Открыть лучший ответ