М
Молодежь
К
Компьютеры-и-электроника
Д
Дом-и-сад
С
Стиль-и-уход-за-собой
П
Праздники-и-традиции
Т
Транспорт
П
Путешествия
С
Семейная-жизнь
Ф
Философия-и-религия
Б
Без категории
М
Мир-работы
Х
Хобби-и-рукоделие
И
Искусство-и-развлечения
В
Взаимоотношения
З
Здоровье
К
Кулинария-и-гостеприимство
Ф
Финансы-и-бизнес
П
Питомцы-и-животные
О
Образование
О
Образование-и-коммуникации
26dura
26dura
12.03.2023 23:15 •  Алгебра

Тема: произведение и частное комплексных чисел, заданных в тригонометрической форме. умножьте комплексные числа: z₁=1/3(cos π/9 + i sin π/9) и z₂=3(cos π/3 + i sin π/3)

👇
Ответ:
жанна425
жанна425
12.03.2023
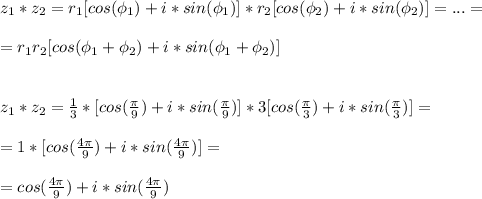
z_1*z_2=r_1[cos(\phi_1)+i*sin(\phi_1)]*r_2[cos(\phi_2)+i*sin(\phi_2)]=...=\\\\
=r_1r_2[cos(\phi_1+\phi_2)+i*sin(\phi_1+\phi_2)]\\\\\\
z_1*z_2=\frac{1}{3}*[cos(\frac{\pi}{9})+i*sin(\frac{\pi}{9})]*3[cos(\frac{\pi}{3})+i*sin(\frac{\pi}{3})]=\\\\
=1*[cos(\frac{4\pi}{9})+i*sin(\frac{4\pi}{9})]=\\\\
=cos(\frac{4\pi}{9})+i*sin(\frac{4\pi}{9})
4,8(85 оценок)
Открыть все ответы
Ответ:
mangle56
mangle56
12.03.2023

Объяснение:

для начала строим первый график исходной функции

назовем его нулевым

(0) у=3*sin(x/2+pi/6)+1

простите великодушно, но этот график имеется в Вашем предыдущем задании, вы знаете как он выглядит, я лишь выложу готовый график во вложении. взгляните на него. (смотри во вложении).ок.

а) в этом графике зависимость от х совпадает с графиком (0) при положительных х, а при отрицательных график является зеркальным отображением себя относительно вертикальной оси У

(смотри во вложении)

б) этот график отличается от (0) тем, что те значения Y, которые были отрицательны вдруг стали положительны. получается что отрицательная часть графика перевернулась (отразилась) относительно оси Х

(смотри во вложении)

в) этот график отличается от графика а) тем что он как и предыдущий, развернул свои отрицательные значения вверх

(смотри во вложении)

г) строим график а) там где значения y были положительны.

модуль игрека говорит о том что у нас есть две ветки, симметричные относительно оси Х.

строим вторую ветку симметрично только что построенной относительно оси Х

замечание этот график неопределен в тех местах где график а) принимает отрицательные значения, там пропуски

д) этот график имеет две симметричные ветки относительно оси Х

построен может быть из (0) либо из(б) путем дорисовывания симметричной относительно оси Х части к имеющемуся графику

е)а этот график строится из графика в) путем добавления части симметричной исходному относительно оси Х

все графики есть во вложении

4,7(81 оценок)
Ответ:
nickname011
nickname011
12.03.2023

Чтобы найти область значения функции, надо сначала найти ординату вершины параболы(n), а для того чтобы найти ординату вершины параболы, надо сначала найти абсциссу вершины параболы по формуле m=-\frac{b}{2a} затем подставить вместо х значение m, а потом уже найти n:

m=-\frac{b}{2a} =-\frac{-8}{2*(-1)} = -\frac{-8}{-2} = -4

< br/ > n = f(m) =-(-4)^{2}-8*(-4)+1 = -16+32+1=17

Мы нашли ординату вершины параболы. Это её наибольшее значение. Поэтому все остальные значения параболы будут либо меньше, либо равны 17(≤17).

Поэтому ответ таков: Е(у)=(-∞;17]. Если что, Е(у)- это область значения.

УДАЧИ ВАМ ВО ВСЁМ)))!

4,6(81 оценок)
Это интересно:
logo
Вход Регистрация
Что ты хочешь узнать?
Спроси Mozg
Открыть лучший ответ