М
Молодежь
К
Компьютеры-и-электроника
Д
Дом-и-сад
С
Стиль-и-уход-за-собой
П
Праздники-и-традиции
Т
Транспорт
П
Путешествия
С
Семейная-жизнь
Ф
Философия-и-религия
Б
Без категории
М
Мир-работы
Х
Хобби-и-рукоделие
И
Искусство-и-развлечения
В
Взаимоотношения
З
Здоровье
К
Кулинария-и-гостеприимство
Ф
Финансы-и-бизнес
П
Питомцы-и-животные
О
Образование
О
Образование-и-коммуникации
1ЛиКа6
1ЛиКа6
14.01.2020 15:17 •  Алгебра

Прямая y=kx+b проходит через точки c(-1; 1) и t(2; 4). укажите уравнение этой прямой. а) y=-2x+ б)y=x+ в)y=3x-0, г)y=-4x-3 ,

👇
Ответ:
aminarowa2014
aminarowa2014
14.01.2020
Решение во вложении.
Прямая y=kx+b проходит через точки c(-1; 1) и t(2; 4). укажите уравнение этой прямой. а) y=-2x+ б)y=
4,5(57 оценок)
Ответ:
semabulov
semabulov
14.01.2020
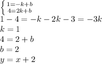
Y=kx+b
Составим систему
\left \{ {{1=-k+b} \atop {4=2k+b}} \right. \\
1-4=-k-2k
-3=-3k\\
k=1\\
4=2+b\\
b=2\\
y=x+2
4,8(8 оценок)
Открыть все ответы
Ответ:
timatima2000
timatima2000
14.01.2020
Из города А к город В выехал велосипедист. Спустя 44 мин вслед за ним выехал мотоциклист, скорость которого на 30 км. ч больше скорости велосипедиста. Через 36 мин после своего выезда мотоциклист, обогнав велосипедиста, был на расстоянии 7 км от него. Найдите скорость велосипедиста. 
Пусть 
Х - скорость велосипедиста 
Х+30 скорость мотоциклиста 

44/60*Х - путь, пройденный велосипедистом за 44 минуты. 
36/60*Х - путь, пройденный велосипедистом за 36 минут. 
36/60*(Х+30) - путь, пройденный мотоциклистом за 36 минут 
Составляем уравнение: 
44/60*Х + 36/60*Х + 7 = 36/60*(Х+30) 
44/60*Х + 36/60*Х + 7 = 36*Х/60 + 18 
44/60*Х + 36/60*Х - 36/60*Х = 18-7 
44/60*Х=11 
44*Х=11*60 
44*Х=660 
Х=660/44=15 км/час. 
ответ: 15 км\час.
4,6(12 оценок)
Ответ:
dimidrol7331
dimidrol7331
14.01.2020
Найдем стороны четырехугольника АВСD:
Длина вектора, заданного координатами, равна корню квадратному из суммы квадратов его координат.Чтобы найти координаты вектора, заданного координатами начала и конца, надо от координат КОНЦА отнять соответствующие координаты НАЧАЛА.
АВ{1;3}, |AB|=√(1+9)=√10.
BC{3;1}, |BC|=√(9+1)=√10.
CD{-1;-3},|CD|=√(1+9)=√10.
AD{3;1}, |AD|=√(9+1)=√10.
Итак, в четырехугольнике все стороны равны.
Ромбом называется параллелограмм, у которого все стороны равны.
Если все противоположные стороны ПОПАРНО равны: AB = CD, BC=DA, то четырехугольник АВСD - параллелограмм.
У нас выполняются оба условия, значит четырехугольник АВСD является ромбом или квадратом.
Но для того, чтобы доказать, что это НЕ КВАДРАТ, определим угол между двумя соседними векторами. Угол α между вектором a и b:
cosα=(x1*x2+y1*y2)/[√(x1²+y1²)*√(x2²+y2²)].
В нашем случае: cosα=(3+3)/[√(1+9)*√(9+1)] = 6/10 = 0,6. То есть угол между векторами АВ и ВС НЕ ПРЯМОЙ. Этого достаточно, чтобы доказать, что четырехугольник АВCD не квадрат.
Следовательно, четырехугольник АВCD - РОМБ.
Что и требовалось доказать...
4,4(84 оценок)
Это интересно:
Новые ответы от MOGZ: Алгебра
logo
Вход Регистрация
Что ты хочешь узнать?
Спроси Mozg
Открыть лучший ответ