М
Молодежь
К
Компьютеры-и-электроника
Д
Дом-и-сад
С
Стиль-и-уход-за-собой
П
Праздники-и-традиции
Т
Транспорт
П
Путешествия
С
Семейная-жизнь
Ф
Философия-и-религия
Б
Без категории
М
Мир-работы
Х
Хобби-и-рукоделие
И
Искусство-и-развлечения
В
Взаимоотношения
З
Здоровье
К
Кулинария-и-гостеприимство
Ф
Финансы-и-бизнес
П
Питомцы-и-животные
О
Образование
О
Образование-и-коммуникации
Бесполезная3
Бесполезная3
13.12.2022 06:36 •  Алгебра

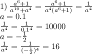
Найдите значение дроби (a^6 + 1)/(a^10 + a^4) при а = 0,1, а = - 1/2 зная, что (а + 2b = 5), найдите значение дроби (2а - 4b)/(0,2a^2 - 0,8b^2)

👇
Ответ:
vakhtinanelli
vakhtinanelli
13.12.2022
1) \: \frac{ {a}^{6} + 1 }{ {a}^{10} + {a}^{4} } = \frac{ {a}^{6} + 1}{ {a}^{4} ( {a}^{6} + 1)} = \frac{1}{ {a}^{4} } \\ a = 0.1 \\ \frac{1}{ {a}^{4} } = \frac{1}{ {0.1}^{4} } = 10000 \\ a = - \frac{1}{2} \\ \frac{1}{ {a}^{4} } = \frac{1}{( - \frac{1}{2}) ^{4}} = 16
2) \: \: \frac{2a - 4b}{0.2 {a}^{2} - 0.8 {b}^{2} } = \frac{2(a - 2b)}{0.2( {a}^{2} - 4 {b}^{2} ) } = \frac{a - 2b}{0.1(a - 2b)(a + 2b)} = \frac{10}{a + 2b} = |a + 2b = 5| = \frac{10}{5} = 2
4,8(26 оценок)
Ответ:
lexa23072003
lexa23072003
13.12.2022

1.

Упростим:

\frac{a^6+1}{a^{10}+a^4}=\frac{a^6+1}{a^4(a^{6}+1)}=\frac{1}{a^4}

а) при а = 0,1

\frac{1}{0,1^4}=\frac{1}{(10^{-1})^4}=\frac{1}{10^{-4}}=10^4 = 10000

б) при а = - 1/2

\frac{1}{(-1/2)^4}=\frac{1}{(1/2)^4}=2^4 = 16


2.

\frac{2a-4b}{0,2a^2-0,8b^2}=\frac{(a-2b)}{0,1(a^2-4b^2)}=\\ \\=\frac{10(a-2b)}{(a-2b)(a+2b)}=\frac{10}{a+2b}

Зная, что (а + 2b = 5), получим:

\frac{10}{5}=2

ответ: 2

4,4(18 оценок)
Открыть все ответы
Ответ:
Kimberliny
Kimberliny
13.12.2022
Добрый день! Конечно, я могу помочь вам решить это уравнение.

Итак, у нас дано уравнение (x^2-2x)^2+3=0. Чтобы решить его, мы воспользуемся заменой переменной. Давайте представим переменную u вместо выражения (x^2-2x). Тогда у нас получится уравнение u^2 + 3 = 0.

Теперь давайте решим это уравнение в переменной u:

u^2 + 3 = 0.

Вычитаем 3 из обеих сторон:

u^2 = -3.

Чтобы избавиться от квадрата, возьмем квадратный корень из обоих сторон:

u = ±√(-3).

Здесь возникает проблема, поскольку √(-3) является комплексным числом. Если мы решаем уравнение в области вещественных чисел, то решения не существует. Однако, если мы решаем его в области комплексных чисел, то у нас есть два решения:

u = √(3)i и u = -√(3)i,

где i = √(-1).

Теперь вернемся к замене переменной и подставим выражение для u = (x^2-2x):

(x^2-2x) = √(3)i

Найдем значения x, выполнив алгебраические действия:

x^2 - 2x - √(3)i = 0.

Следовательно, у нас есть два случая:

1) x^2 - 2x = √(3)i.

Решим это квадратное уравнение, используя формулу:

x = (2 ± √(4 - 4*1*(-√(3)i)))/2*1.

Упрощаем:

x = (2 ± √(4 + 4√(3)i))/2.

x = 1 ± √(1 + √(3)i).

2) x^2 - 2x = -√(3)i.

Также решим это квадратное уравнение, используя формулу:

x = (2 ± √(4 - 4*1*√(3)i))/2*1.

Упрощаем:

x = (2 ± √(4 - 4√(3)i))/2.

x = 1 ± √(1 - √(3)i).

Таким образом, мы получили два набора решений для данного уравнения с использованием замены переменной:

1) x = 1 ± √(1 + √(3)i).

2) x = 1 ± √(1 - √(3)i).

Надеюсь, это решение понятно для вас, если возникнут еще вопросы, не стесняйтесь задавать их!
4,4(11 оценок)
Ответ:
denihaev30
denihaev30
13.12.2022
Чтобы доказать, что треугольник DOC подобен треугольнику AOB, мы должны установить, что у них соответствующие углы равны и отношение их сторон пропорционально. Давайте посмотрим, как мы можем это сделать.

1. У нас дано, что угол A = 35°. Угол A - это угол между сторонами AO и OB в треугольнике AOB.

2. Мы знаем, что углы в треугольнике суммируются до 180°. Поэтому, чтобы найти угол D, мы можем вычислить: угол D = 180° - угол A.

3. Таким образом, угол D = 180° - 35° = 145°.

Теперь давайте проверим пропорциональность сторон треугольников DOC и AOB:

4. Мы видим, что сторона DO соответствует стороне AO, а сторона CO соответствует стороне OB.

5. Чтобы проверить, что эти стороны пропорциональны, мы можем использовать соотношение между сторонами треугольников в подобных фигурах. Оно гласит: сторона треугольника 1 / сторона треугольника 2 = сторона треугольника 1' / сторона треугольника 2', где треугольник 1 и треугольник 1' - подобные треугольники, а треугольник 2 и треугольник 2' - соответствующие стороны.

6. Применим это соотношение к треугольникам DOC и AOB. Так как сторона DO соответствует стороне AO, а сторона CO соответствует стороне OB, мы можем записать: DO / AO = CO / OB.

7. Теперь мы должны проверить, выполняется ли это соотношение. Для этого нам нужно знать дополнительные данные о треугольниках DOC и AOB, например, их стороны.

8. Если у вас есть дополнительные данные или условия задачи, пожалуйста, предоставьте их, чтобы мы могли продолжить решение задачи.
4,4(47 оценок)
Новые ответы от MOGZ: Алгебра
logo
Вход Регистрация
Что ты хочешь узнать?
Спроси Mozg
Открыть лучший ответ