 
                                                 
                                                 
                                                1)] x (деталей/день) - изготовляла 1 бригада
х-8(деталей/день) - изготовляла 2 бригада.
y(дней) - время работы 1 бригады
y+1(дней) - время работы 2 бригады
Тогда:
y=240/x
y+1=240/(x-8)
240/x +1=240/(x-8)
240(x-8)+x(x-8)-240x=0
240x-1920+x^2-8x-240x=0
x^2-8x-1920=0
D=8^2+4*1920=64+7680=7744=88^2
x1=(8+88)/2=48
x2=(8-88)/2=-40 - не подходит
ответ: 48 и 40.
2)
Имеет смысл когда:
2(а+1,5)(а+4)>0 и -(a+5)(a-2)>0
a>-1,5 или a<-4 -5<a<2
-5<a<-4 и -1,5<a<2
 
                                                 
                                                 
                                                 
                                                
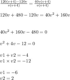
скорость мотоцикл = v
скорость велосипедиста u = v+4
тогда время для мотоцикл потраченное на 1 км
для велосипедиста
известно, что мотоцикл проехал больше велосипедиста на 40 км, следовательно
где s1- путь мотоцик
s2 - путь велосипедиста
знаем, что пройденный путь это
тогда за 2часа или за 120 минут
одз: v ,не равно 0; 4
решая уравнение
здесь все просто.
одз - знаменатель не равен 0
и внизу теорема Виета.
очевидно, что
тогда
для мотоцикл
для велосеп
все,