М
Молодежь
К
Компьютеры-и-электроника
Д
Дом-и-сад
С
Стиль-и-уход-за-собой
П
Праздники-и-традиции
Т
Транспорт
П
Путешествия
С
Семейная-жизнь
Ф
Философия-и-религия
Б
Без категории
М
Мир-работы
Х
Хобби-и-рукоделие
И
Искусство-и-развлечения
В
Взаимоотношения
З
Здоровье
К
Кулинария-и-гостеприимство
Ф
Финансы-и-бизнес
П
Питомцы-и-животные
О
Образование
О
Образование-и-коммуникации

Гражданская право возникает у гражданина с

👇
Ответ:
dmitry113114
dmitry113114
17.08.2022
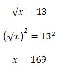
Для того, чтоб решать подобные уравнения необходимо возводить обе части в квадрат, чтоб икс (x) "ушёл из-под корня", в общем:

Гражданская право возникает у гражданина с
4,5(43 оценок)
Ответ:
nastyavix
nastyavix
17.08.2022
13 или не имеет смысла
4,4(100 оценок)
Открыть все ответы
Ответ:
SashaLaik
SashaLaik
17.08.2022

https://theconversation.com/profiles/123movies-fatima-2020-hd-full-movie-online-free-1096902

https://theconversation.com/profiles/123movies-the-shack-2017-hd-full-movie-online-free-1096903

https://theconversation.com/profiles/123movies-fantastic-beasts-the-crimes-of-grindelwald-2018-hd-full-movie-online-free-1096904

https://theconversation.com/profiles/123movies-descendants-2-2017-hd-full-movie-online-free-1096905

https://theconversation.com/profiles/123movies-the-sound-of-music-1965-hd-full-movie-online-free-1096908

https://theconversation.com/profiles/123movies-before-i-fall-2017-hd-full-movie-online-free-1096911

https://theconversation.com/profiles/123movies-the-spongebob-movie-sponge-on-the-run-2020-hd-full-movie-online-free-1096909

Объяснение:

4,4(23 оценок)
Ответ:
Полиняша
Полиняша
17.08.2022

У апавяданні В. Карамазава «Дзяльба кабанчыка» расказваецца пра звычайны для вясковага жыцця эпізод — дзеці прыехалі ў вёску да маці «на свежыну» . Але пісьменнік звяртае нашу ўвагу на паводзіны дзяцей, іх адносіны да маці.

Маці вырасціла, выпеставала трох дзяцей: Веру, Ніну і Сцяпана. Мы даведаліся, што ўсе яны добра ўладкаваліся, жывуць у горадзе, не адчуваюць сябе беднымі, а дапамагае маці толькі адзін Сцяпан. Вера і Ніна нават не адчуваюць сваёй віны за тое, што даўно не былі на магіле бацькі, забыліся туды дарогу. Не заўважаюць, што іх маці стала зусім старэнькай, а даглядае такую вялікую гаспадарку. I даглядае не для сябе, а для таго, каб дзеці, прыехаўшы, маглі чаго ўзяць. Пісьменнік не апісвае знешнасці сясцёр, а ўсю ўвагу надае адзенню малодшай сястры Ніны — белы плашчык, чырвоны берэцік, лакавыя чаравічкі. Яна прыехала не дамоў, а ў госці. Ці можна ў белым плашчыку і лакавых чаравічках дапамагчы маці па гаспадарцы? Канешне, не. Ды яна і не збіралася дапамагаць. Яе не ўразілі словы маці аб тым, што цяжка стала «цягнуць» гаспадарку — рукі ломіць і не хапае сіл. Але найбольш яскравы эпізод, які характарызуе ўсіх дзяцей — сцэна дзяльбы кабанчыка. «Смешна было глядзець, як маці бярэ з агульнай кучы кавалак, варочае яго з боку на бок, перакладае з рукі ў руку, гадаючы, каму пакласці, а сёстры і Коля ўважліва сочаць за матчынымі рукамі, маўчаць, ані слова — не да размоў...» Сясцёр і зяця турбуе толькі адно, каб толькі іх не абдзялілі. Адзін толькі Сцяпан заўважае, што маці недзе парэзала палец і ён, заматаны ў белую анучку, «падобны на белую каціную лапку» . Аднаму Сцяпану няёмка, што маці ўсё мяса аддае ім, а сабе нічога не пакінула. Менш за ўсё маці думае пра сябе, а дарослыя дзеці нават не заўважаюць гэтага ў прагным жаданні атрымаць найлепшы кавалак.

4,7(73 оценок)
Это интересно:
Новые ответы от MOGZ: Другие предметы
logo
Вход Регистрация
Что ты хочешь узнать?
Спроси Mozg
Открыть лучший ответ