М
Молодежь
К
Компьютеры-и-электроника
Д
Дом-и-сад
С
Стиль-и-уход-за-собой
П
Праздники-и-традиции
Т
Транспорт
П
Путешествия
С
Семейная-жизнь
Ф
Философия-и-религия
Б
Без категории
М
Мир-работы
Х
Хобби-и-рукоделие
И
Искусство-и-развлечения
В
Взаимоотношения
З
Здоровье
К
Кулинария-и-гостеприимство
Ф
Финансы-и-бизнес
П
Питомцы-и-животные
О
Образование
О
Образование-и-коммуникации

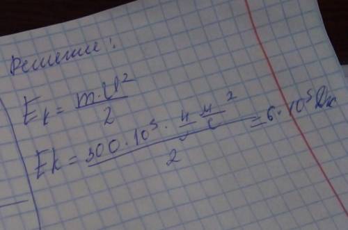
Чему равна кинетическая энергия меча массой 300г в момент удара о землю, если скорость его 4 м/с? , ​

👇
Ответ:
alenamon
alenamon
02.09.2022

ответ: 6*10^5 Дж

Удачи


Чему равна кинетическая энергия меча массой 300г в момент удара о землю, если скорость его 4 м/с? ,
4,6(12 оценок)
Открыть все ответы
Ответ:
tivaschhenko
tivaschhenko
02.09.2022
Длина реки: 4 700 км., от слияния притоков - 4380 км.
Площадь бассейна водосбора: 2 970 000 кв. км.
Средняя глубина: 12 м, масимальная глубина - 48 м.
Где протекает: Река Парана берет начало в месте слияния рек Риу-Гранди и Паранаиба в южной части Бразильского плоскогорья. Исток Паранаиба находится в горах Серра-да-Канастра, а Риу-Гранди в горах Серра-да-Мантикейра.
Главные притоки: Уругвай, Парагвай, Игуасу с самым красивым в мире водопадом Игуасу, Рио-Саладо, Паранапанема ...
Средний годовой сток: 17 500 м3/с, может колебаться от 6 до 30 тыс. м3/с.
Питание реки: преимущественно дождевое, часто случаются паводки и наводнения. Для верхнего течения высокая вода характерна весной, в среднем течении - летом, в нижнем -  осенью.Река переносит в океан большое количество наносов, примерно, 90-95 млн. тонн.
Замерзание: не замерзает.
4,4(99 оценок)
Ответ:
4EJLOBEK228
4EJLOBEK228
02.09.2022
Длина реки: 4 700 км., от слияния притоков - 4380 км.
Площадь бассейна водосбора: 2 970 000 кв. км.
Средняя глубина: 12 м, масимальная глубина - 48 м.
Где протекает: Река Парана берет начало в месте слияния рек Риу-Гранди и Паранаиба в южной части Бразильского плоскогорья. Исток Паранаиба находится в горах Серра-да-Канастра, а Риу-Гранди в горах Серра-да-Мантикейра.
Главные притоки: Уругвай, Парагвай, Игуасу с самым красивым в мире водопадом Игуасу, Рио-Саладо, Паранапанема ...
Средний годовой сток: 17 500 м3/с, может колебаться от 6 до 30 тыс. м3/с.
Питание реки: преимущественно дождевое, часто случаются паводки и наводнения. Для верхнего течения высокая вода характерна весной, в среднем течении - летом, в нижнем -  осенью.Река переносит в океан большое количество наносов, примерно, 90-95 млн. тонн.
Замерзание: не замерзает.
4,8(88 оценок)
Новые ответы от MOGZ: Другие предметы
logo
Вход Регистрация
Что ты хочешь узнать?
Спроси Mozg
Открыть лучший ответ