М
Молодежь
К
Компьютеры-и-электроника
Д
Дом-и-сад
С
Стиль-и-уход-за-собой
П
Праздники-и-традиции
Т
Транспорт
П
Путешествия
С
Семейная-жизнь
Ф
Философия-и-религия
Б
Без категории
М
Мир-работы
Х
Хобби-и-рукоделие
И
Искусство-и-развлечения
В
Взаимоотношения
З
Здоровье
К
Кулинария-и-гостеприимство
Ф
Финансы-и-бизнес
П
Питомцы-и-животные
О
Образование
О
Образование-и-коммуникации

Для автомобиля с мощностью двигателя свыше 50 до 70 л.с. включительно установлены следующие коэффициенты, входящие в состав

👇
Ответ:
krudnya
krudnya
09.03.2020

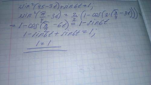
Для начала переводишь 45 градусов как pi/4. Далее - применяешь формулу понижения степени у синуса, получаем: 1-cos(pi/2-6t). Видим - формулу приведения, преобразуем, получаем: 1-sin6t. Далее, обычная арифметика.


Для автомобиля с мощностью двигателя свыше 50 до 70 л.с. включительно установлены следующие коэффици
4,5(37 оценок)
Открыть все ответы
Ответ:
RL228
RL228
09.03.2020
Местоимение себя не имеет морфологических категорий рода и числа. Число выражается синтаксически, т. е. формами согласуемого слова: самой себе, самом себе, самому себе, самих себя.

Местоимение себя не имеет формы именительного падежа единственного числа и форм множественного числа. Формы косвенных падежей образуются с тех же окончаний, что и формы личного местоимения ты. У взаимно-возвратного местоимения друг друга при склонении вторая часть изменяется как существительное.

Возвратное местоимение себя в предложении выступает в роли дополнения, реже — обстоятельства
4,4(59 оценок)
Ответ:
SIHGFI
SIHGFI
09.03.2020
Местоимение себя не имеет морфологических категорий рода и числа. Число выражается синтаксически, т. е. формами согласуемого слова: самой себе, самом себе, самому себе, самих себя.

Местоимение себя не имеет формы именительного падежа единственного числа и форм множественного числа. Формы косвенных падежей образуются с тех же окончаний, что и формы личного местоимения ты. У взаимно-возвратного местоимения друг друга при склонении вторая часть изменяется как существительное.

Возвратное местоимение себя в предложении выступает в роли дополнения, реже — обстоятельства
4,6(55 оценок)
Это интересно:
Новые ответы от MOGZ: Другие предметы
logo
Вход Регистрация
Что ты хочешь узнать?
Спроси Mozg
Открыть лучший ответ