М
Молодежь
К
Компьютеры-и-электроника
Д
Дом-и-сад
С
Стиль-и-уход-за-собой
П
Праздники-и-традиции
Т
Транспорт
П
Путешествия
С
Семейная-жизнь
Ф
Философия-и-религия
Б
Без категории
М
Мир-работы
Х
Хобби-и-рукоделие
И
Искусство-и-развлечения
В
Взаимоотношения
З
Здоровье
К
Кулинария-и-гостеприимство
Ф
Финансы-и-бизнес
П
Питомцы-и-животные
О
Образование
О
Образование-и-коммуникации
oksanaidima
oksanaidima
27.09.2021 12:18 •  Физика

Написать решение . за 1 час экскаватор вынимает 60 кубических метров грунта.за сколько часов он выроет траншею длиной 140 метров,шириной 1 метр и глубиной 1,5 метра?

👇
Ответ:
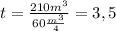
Дано:
t_1=1 час
U=60 \frac{m^3}{4}
a=140m
b=1m
c=1,5m
-----
t_2-?

Решение:
t= \frac{V}{t_1}
V=abc
V=140m*1m*1,5m=210m^3
t= \frac{210m^3}{60 \frac{m^3}{4} }= 3,5 часа

ответ: 3,5часа
4,4(63 оценок)
Открыть все ответы
Ответ:
olesy1945
olesy1945
27.09.2021

2(в) Определите истинность/ложность утверждений (П/Л)

Утверждения Правда /Ложь

1.Свет обеспечивает чередование жизненных процессов растений

2.Живые организмы нуждаются в фотопериодизме

3.Растения длинного дня обитают в тропических и субтропических широтах

4.При недостатке света растения теряют к фотосинтезу

5.На фотопериодизм влияет разное количество тепла 2(в) Определите истинность/ложность утверждений (П/Л)

Утверждения Правда /Ложь

1.Свет обеспечивает чередование жизненных процессов растений

2.Живые организмы нуждаются в фотопериодизме

3.Растения длинного дня обитают в тропических и субтропических широтах

4.При недостатке света растения теряют к фотосинтезу

5.На фотопериодизм влияет разное количество тепла

2(в) Определите истинность/ложность утверждений (П/Л)

Утверждения Правда /Ложь

1.Свет обеспечивает чередование жизненных процессов растений

2.Живые организмы нуждаются в фотопериодизме

3.Растения длинного дня обитают в тропических и субтропических широтах

4.При недостатке света растения теряют к фотосинтезу

5.На фотопериодизм влияет разное количество тепла

2(в) Определите истинность/ложность утверждений (П/Л)

Утверждения Правда /Ложь

1.Свет обеспечивает чередование жизненных процессов растений

2.Живые организмы нуждаются в фотопериодизме

3.Растения длинного дня обитают в тропических и субтропических широтах

4.При недостатке света растения теряют к фотосинтезу

5.На фотопериодизм влияет разное количество тепла

4,6(18 оценок)
Ответ:
Наташа006
Наташа006
27.09.2021

Если же давление будет уменьшаться, то трубка будет сгибаться, а стрелка двигаться в обратном направлении.

Основные составные части это: согнутая в дугу полая трубка (1), стрелка (2), зубчатка (3), кран (4), рычаг (5).

Принцип действия трубчатого манометра

Один конец трубки запаян. В другой конец трубки, с крана соединяется с сосудом, в котором необходимо измерить давление. Если давление начнет увеличиваться, трубка будет разгибаться, при этом воздействуя на рычаг. Рычаг через зубчатку связан со стрелкой, поэтому при увеличении давления стрелка будет отклоняться, указывая давление.


Как устроен металлический манометр?​
4,5(91 оценок)
Новые ответы от MOGZ: Физика
logo
Вход Регистрация
Что ты хочешь узнать?
Спроси Mozg
Открыть лучший ответ