М
Молодежь
К
Компьютеры-и-электроника
Д
Дом-и-сад
С
Стиль-и-уход-за-собой
П
Праздники-и-традиции
Т
Транспорт
П
Путешествия
С
Семейная-жизнь
Ф
Философия-и-религия
Б
Без категории
М
Мир-работы
Х
Хобби-и-рукоделие
И
Искусство-и-развлечения
В
Взаимоотношения
З
Здоровье
К
Кулинария-и-гостеприимство
Ф
Финансы-и-бизнес
П
Питомцы-и-животные
О
Образование
О
Образование-и-коммуникации
Ksenia20066kislova
Ksenia20066kislova
17.04.2022 01:54 •  Физика

На расстоянии 5*10^-2 м от поверхности шара потенциал равен 600 в, на расстоянии 10^-1 м он составляет 420 в. до какого потенциала заряжен шар? ?

👇
Ответ:
zhikinemil26
zhikinemil26
17.04.2022

Дано:
r1=5*10^-2 м.

f1=600В.

r2=10^-1 м.

f2=420В.

f=?

______

Запишем формулу потенциала точечного заряда:

f=k*\frac{q}{r}

В данной задаче расписывать k не имеет смысла, в дальнейшем узнаешь почему.

Теперь распишем для двух случаев:

f1=k*\frac{q}{R+r1};\\ f2=k*\frac{q}{R+l2};\\

Найдя отношение потенциалов найдем радиус шара:

\frac{f1}{f2}=\frac{k*\frac{q}{R+r1}}{k*\frac{q}{R+r2}}=\frac{R+r2}{R+r1};\\

Выражаем радиус шара:

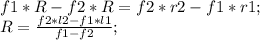
f1*R-f2*R=f2*r2-f1*r1;\\ R=\frac{f2*l2-f1*l1}{f1-f2};\\

R=(10^-1*420-5*10^-2*600)/(600-420)=0,06м.

Теперь найдем отношение f и f1:

\frac{f}{f1}=\frac{R+r1}{R}*f1;\\

Выражаем f:

f=((0,06+0,05)/0,06)*600=1100В. (1049В).

4,8(96 оценок)
Открыть все ответы
Ответ:
Джахаршин8
Джахаршин8
17.04.2022

ответ:  - Hello,

-hello, how can I help you?

-I'd like to buy a bouquet of flowers for my friend!It's her birthday tomorrow!

- This is very cool!What does she love?

-Jasmine likes roses and orchids.

-How many flowers to collect in a bouquet?

-I would like 4 roses, 3 orchids and dried flowers.

- What ribbon should I tie the bouquet with?

- Purple, please.

I like how much it costs?

- 20 pounds

Great, thank you very much!

Объяснение:

-Здравствуйте

-Здравствуйте,чем я могу

- Я бы хотела купить букет цветов для подруги!У неё завтра день рождения!

-Это очень здорово!Что она любит?  

- Жасмин нравятся розы и орхидеи.

 -Сколько цветов собрать в букет?

-Я бы хотела 4 розы , 3 орхидеи и сухоцветы.

- Какой ленточкой завязать букет?

-Фиолетовой Мне нравится,сколько он стоит?  

-20 фунтов

-Отлично большое!

Немного глупый диалог, если нужно что то другое, пиши

4,4(95 оценок)
Ответ:
89243919567
89243919567
17.04.2022

Дано:

v1 = 10 км/ч

L = 10 км

u1 = 5 км/ч

L1 = L/2

L2 = L/2

s1 = s

s2 = s/2

Найти:

t = ?

Произведение скорости течения воды в канале на площадь поперечного сечения канала сохраняется постоянным:

v1*s1 = v2*s2

То есть, при втекании воды из широкого русла в узкое скорость её течения становится больше. Тогда выясним как именно изменится скорость течения во второй половине канала:

u1*s1 = u2*s2

u1*s = u2*s/2

u2 = u1*s / (s/2) = (u1*s*2)/s = 2*u1 - скорость течения воды во второй половине канала увеличится вдвое по сравнению с u1.

Далее. По условиям задачи у нас канал с проточной водой - то есть судно движется по ходу потока. Скорость судна относительная. Это значит, что у судна скорость складывается из скорости потока воды и собственной скорости:

v1 = u1 + v

Тогда скорость судна во второй половине канала:

v2 = u2 + v

И скорость самого судна:

v = v1 - u1

Время - это путь, делённый на скорость:

t = L/v

Время, которое потратит судно на прохождение каждой из половин:

t1 = L1/v1 = (L/2) / v1 = L/(2*v1)

t2 = L2/v2 = (L/2)/(u2 + v) = (L/2)/(2*u1 + (v1- u1)) = (L/2)/(u1 + v1) = L/(2*(u1 + v1))

Тогда общее время:

t = t1 + t2 = L/(2*v1)  +  L/(2*(u1 + v1)) = L* (1/(2*v1) + 1/(2*(u1 + v1))) = 10 * (1/(2*10) + 1/(2*(5 + 10))) = 10 * (1/20 + 1/30) = 10/20 + 10/30 = 1/2 + 1/3 = 3/6 + 2/6 = 5/6 = 0,8(3) часа = 0,8(3) * 60 = 50 мин.

ответ: 50 минут.

4,8(69 оценок)
Новые ответы от MOGZ: Физика
logo
Вход Регистрация
Что ты хочешь узнать?
Спроси Mozg
Открыть лучший ответ