1)
Центральный угол в развёртке боковой поверхности конуса равен 120°. Высота конуса=4√2. Найдите его объем.
----------
Образующая конуса L- радиус окружности с центром В, частью которой является его развертка АВС.
Формула длины окружности =2πR =2πL, где L- образующая конуса.
Т.к. угол АВС=120°, а полная окружность содержит 360°, длина дуги АС=1/3 длины окружности, содержащей развертку конуса.
◡AC=2πL/3
В то же время дуга АС этой окружности равна длине окружности основания конуса.
2πr=2πL/3 ⇒ L=3r
Из треугольника, образованного высотой конуса и радиуса ( катеты) и образующей ( гипотенуза) найдем по т.Пифагора радиус основания конуса.
L²-r²=h²
9r²-r²=32
r²=32:8=4
V(кон)=πr²•h/3
V=(π4•4√2):3=(π16√2):3
(ед. объёма)
2)
В правильной треугольной пирамиде расстояние от вершины основания до противолежащей боковой грани= m. Боковые грани наклонены к основанию под углом a (альфа). Найдите объем вписанного в пирамиду конуса.
Правильная пирамида МАВС – это пирамида, основанием которой является правильный треугольник АВС, а вершина М пирамиды проецируется в центр О этого треугольника.
Образующей вписанного в пирамиду конуса является апофема пирамиды, а основание этого конуса ограничено окружностью, вписанной в основание пирамиды, т.е. в ∆ АВС.
Радиус конуса равен 1/3 высоты СН правильного треугольника АВС
Расстояние от вершины С основания АВС до грани АМВ - высота треугольника СМН, плоскость которого перпендикулярна грани АМВ и основанию АВС.
Угол α образован прямыми СН и МН, перпендикулярными ребру АВ в точке Н.
r=OН=(КС:sinα):3=(m:sinα):3 =m:3sinα ⇒
высота МО=OH•tgα=(m:3sinα):sinα/cosα=m:3cosα

1)Периметр ромба равен 4*сторона
сторона= 52\4=13 см
Площадь ромба равна произведению квадрата стороны на синус угла между сторонами
отсюда синус угла =площадь робма разделить на квадрат стороны
sin A=120\(13^2)=120\169
Так как угол А -острый,то cos A=корень(1-sin^2 A)=корень(1-(120\169)^2)=
=119\169
По одной из основных формул тригонометрии
tg A=sin A\cos A=120\169\(119\169)=120\119
ответ:120\169,119\169,120\119.
2)
Катеты треугольника относятся друг к другу как 9 к 40.
Пусть длина одного катета 9х, тогда второго 40х.
По теореме пифагора квадрат катетов равен квадрату гипотенузы
(9х) в квадрате + (40х) в квадрате = 82 в квадрате
81 х^2 + 1600 х^2 = 6724. Отсюда х^2 = 4.
х=2.
один катет 9х=18 см
второй катет 40х=80 см
3)
Боковые стороны: (36-10)/2=13
Высота h=корень(169-25)=12
tga=5/12 sina=5/13 cosa=12/13.
4) cos - отношение прилежащего( в данном случае неизвестного) катета к гипотенузе, пусть гипотенуза - х, тогда катет 24х / 25. по теореме пифагора квадрат гипотенузы равен сумме квадратов катетов x^2=14^2+(24x / 25)^2, отсюда х=50, а второй катет равен 48
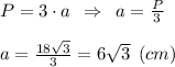
Радіус кола, описаного навколо правильного трикутника, знаходиться за формулою:
де а — довжина сторони правильного трикутника.
Знайдемо сторону правильного тр-ка, знаючи його периметр:
Підставимо значення в формулу радіуса:
Відповідь: Радіус кола дорівнює 6 cm.