М
Молодежь
К
Компьютеры-и-электроника
Д
Дом-и-сад
С
Стиль-и-уход-за-собой
П
Праздники-и-традиции
Т
Транспорт
П
Путешествия
С
Семейная-жизнь
Ф
Философия-и-религия
Б
Без категории
М
Мир-работы
Х
Хобби-и-рукоделие
И
Искусство-и-развлечения
В
Взаимоотношения
З
Здоровье
К
Кулинария-и-гостеприимство
Ф
Финансы-и-бизнес
П
Питомцы-и-животные
О
Образование
О
Образование-и-коммуникации
marinabelousov2
marinabelousov2
27.09.2020 22:28 •  Геометрия

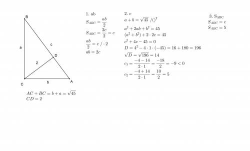
Втреугольнике abc угол c прямой. известно, что ac+bc= корень из 45, а высота, проведенная из вершины прямого угла равна 2. найдите площадь треугольника abc

👇
Ответ:
Kotenok052000
Kotenok052000
27.09.2020

ответ в файле

………………...........


Втреугольнике abc угол c прямой. известно, что ac+bc= корень из 45, а высота, проведенная из вершины
4,6(24 оценок)
Открыть все ответы
Ответ:
megaosiyo
megaosiyo
27.09.2020
№1 
КМ и КН отрезок касательных проведенных из точки К к окружности с центром О.Найти КМ иКН если ОК=12 и угол МОН=120 градусам. 
№2 
Диагональ ромба ABCD пересекаются в точке О.Доказать что прямая ВD касается окружности с центром А и радиусом ОС

1. Отрезки касательных, проведенных из одной точки, равны, т. е. КМ=КН
КО - биссектриса угла МОН, след-но тр-ники КОМ и КОН - прямоугольные, с углами= 90, 60, 30 град.
ОМ=ОН=6см. , КМ=КН=sqrt(144-36)=7sqrt2
2. Диагонали ромба точкой пересечения делятся пополам, т. е. АО=ОС, отсюда диагональ ромба ВD касается окружности с центром А и радиусом ОС
4,4(17 оценок)
Ответ:
Maciel
Maciel
27.09.2020
1. Берем цмркулем гипотенузу и делим ее пополам (надеюсь как делить пополам отрезок с циркуля и линейки не  надо рассказывать)

2. Половиной гипотенузы строим окружность.

3. Берем произвольную точку К и проводим через О луч до пересечения с окружностью L. KL будет диаметром и одновременно гипотенузой искомого треугольника.

4. Далее берем циркулем наш катет. Ставим остриё в т.К и делаем засечку на нашей окружности т.М. КМ это наш катет.

Полученный треугольник прямоугольный с искомыми катетом и гипотенузой.

Постройте прямоугольный треугольник по данному катету и гипотенузе надо
4,4(99 оценок)
Новые ответы от MOGZ: Геометрия
logo
Вход Регистрация
Что ты хочешь узнать?
Спроси Mozg
Открыть лучший ответ