М
Молодежь
К
Компьютеры-и-электроника
Д
Дом-и-сад
С
Стиль-и-уход-за-собой
П
Праздники-и-традиции
Т
Транспорт
П
Путешествия
С
Семейная-жизнь
Ф
Философия-и-религия
Б
Без категории
М
Мир-работы
Х
Хобби-и-рукоделие
И
Искусство-и-развлечения
В
Взаимоотношения
З
Здоровье
К
Кулинария-и-гостеприимство
Ф
Финансы-и-бизнес
П
Питомцы-и-животные
О
Образование
О
Образование-и-коммуникации
ольга1646
ольга1646
20.09.2021 20:50 •  Геометрия

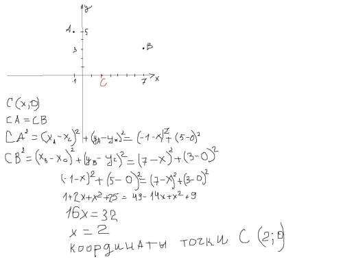
Найти координаты точки, принадлежащей оси абсцисс и
Равноудалена от точек А( - 1 ; 5 ) и В ( 7 ; 3 ).

👇
Ответ:
2003stanislav
2003stanislav
20.09.2021

С(2;0)

Объяснение:


Найти координаты точки, принадлежащей оси абсцисс и Равноудалена от точек А( - 1 ; 5 ) и В ( 7 ; 3
4,8(53 оценок)
Открыть все ответы
Ответ:
Аркадий2018
Аркадий2018
20.09.2021
Так как призма прямая и в основании квадрат, все углы между ребрами прямые. Между пересекающимися боковым ребром и диагональю основания, а так же пересекающимися стороной основания и диагональю боковой грани уголы прямые (если прямая перпендикулярна плоскости, то она перпендикулярна любой прямой в этой плоскости, проходящей через точку пересечения). По теореме Пифагора находим: (17^2-15^2)=64 - квадрат диагонали основания. 64/2 = 32 - квадрат стороны основания. 32 + 15^2 = 32+225 =257 - квадрат диагонали боковой грани \|257 (см) - диагональ боковой грани
4,6(24 оценок)
Ответ:

эта на  теорему косинусов, но для того, чтобы начать решать через теорему, нужно знать стороны. а для этого нам даны координаты. найдем коориданты векторов ab,bc,ac. для этого вспомним правило: чтобы найти координаты вектора, нужно из координат конца вектора, вычесть координаты начала вектора.

ab(1-0; -1-1; 2+1)=ab(1; -2; 3)

bc(3-1; 1+1; 0-2)=bc(2; 2; -2)

ac(3-0; 1-1; 0+1)=ac(3; 0; 1)

теперь найдем длину этих векторов.

теперь запишем теорему косинусов, используя  косинус  угла с.

4,5(32 оценок)
Это интересно:
Новые ответы от MOGZ: Геометрия
Полный доступ к MOGZ
Живи умнее Безлимитный доступ к MOGZ Оформи подписку
logo
Вход Регистрация
Что ты хочешь узнать?
Спроси Mozg
Открыть лучший ответ