смотри ниже..
Объяснение:
ответ: S = 90
Объяснение:
Сделаем дополнительные построения (на рисунке).
Из треугольника EFD найдем высоту DF.
DF²= ED²-EF² = 117 - 81 = 36 и отсюда DF = 6
В новом параллелограмме BEDF диагонали пересекаются и делятся пополам, значит ОЕ = OF = EF/2 = 4,5
Из треугольника ОFD по Пифагору найдем OD
OD² = OF² + FD² = 4,5²+6² = 56,25 и тогда OD = 7,5
Но диагонали прямоугольника равны и в точке пересечения делятся пополам, то есть АС=BD = 7,2*2 = 15
Теперь найдем синус угла между диагоналями <FOD из того же треугольника OFD
sin(FOD) = ED/OD = 6/7.5 = 
S = 0,5*AC*BD*sin(FOD) = 0,5*15*15*4/5 = 90
Через произвольную точку P стороны AC треугольника ABC параллельно его медианам AK и CL проведены прямые, пересекающие стороны BC и AB в точках E и F соответственно. Докажите, что медианы AK и CL делят отрезок EF на три равные части.
Объяснение:
1) Медианы треугольника точкой пересечения делятся 2:1 , считая от вершины: ОК=1/3*АК ; LO=1/3*LC.
2)РЕ║АК ⇒ RE=1/3*PE,
PF║CL ⇒ QF=1/3*PE.
3)ΔREN подобен ΔPEF ( по 2 углам, там целая куча соответственных углов), значит сходственные стороны пропорциональны⇒
EN/EF=RE/PE или EN/EF=1/3 или EN=1/3*EF ;
ΔQFM подобен ΔPFE( по 2 углам) ,значит сходственные стороны пропорциональны⇒ FM/EF=QF/PE или FM/EF=1/3 или FM=1/3*EF.
4) Получили , что M и N разделили отрезок FE на 3 равные части.
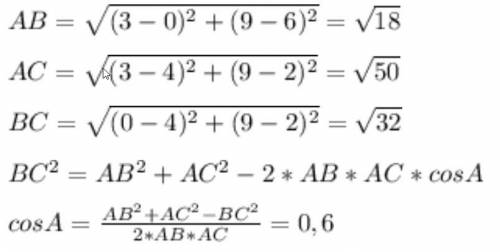
cos C = (AC² + BC² - AB²)/(2*AC*BC) = (50+32-18)/(2/√50*√32) =
= 64/(2* 7,071067812* 5,656854249) = 0,8 .