М
Молодежь
К
Компьютеры-и-электроника
Д
Дом-и-сад
С
Стиль-и-уход-за-собой
П
Праздники-и-традиции
Т
Транспорт
П
Путешествия
С
Семейная-жизнь
Ф
Философия-и-религия
Б
Без категории
М
Мир-работы
Х
Хобби-и-рукоделие
И
Искусство-и-развлечения
В
Взаимоотношения
З
Здоровье
К
Кулинария-и-гостеприимство
Ф
Финансы-и-бизнес
П
Питомцы-и-животные
О
Образование
О
Образование-и-коммуникации
Яяяячканр345
Яяяячканр345
12.10.2021 18:00 •  Геометрия

Напишите определение и их формулы. прямоугольная трапеция. разносторонняя трапеция.

👇
Ответ:
Влад00811
Влад00811
12.10.2021

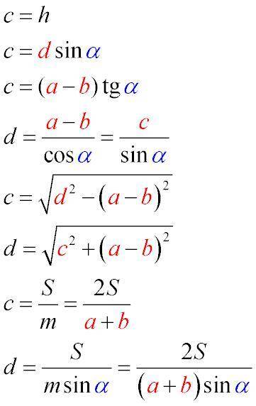
ответ:Прямоугольная трапеция — это трапеция у котрой одна из боковых стороны перпендикулярна основам.

1 картинка - формула )

Равносторонняя трапеция — это трапеция, у которой боковые стороны равны.

Объяснение:


Напишите определение и их формулы. прямоугольная трапеция. разносторонняя трапеция.
4,7(88 оценок)
Открыть все ответы
Ответ:
olya2399
olya2399
12.10.2021

Уравнение окружности: x2+y2=72.  Уравнение прямой: x+y+c=0.  Найди значения коэффициента c, с которым прямая и окружность имеет одну общую точку (прямая касается окружности).

Объяснение:

x²+y²=72,     x+y+c=0

                    у=-(х+с). Подставим в уравнение окружности .

x²+(-(х+с))²=72 ,   х²+х²+2сх+с²-72=0  , 2х²+2хс+(с²-72)=0. Это уравнение должно иметь одно решение ( прямая и окружность имеет одну общую точку ), значит Д=0

Д=(2с)²-4*2*(с²-72)=4с²-8с²+8*72=-4с²+8*72,

-4с²+8*72=0 , -4с²=8*72,    с²=2*72,   с²=144  , с=±12

ответ . -12; 12

4,5(79 оценок)
Ответ:
СуПерБро123
СуПерБро123
12.10.2021

ответ: Mod(CB)+Mod(CD)=10+24=34 cm

Mod (CB+CD)=26 cm

Mod(BA)-Mod(DA)=10-24=-14 cm

Mod(BA-DA)=26cm

Объяснение:

1.Mod(CB)+Mod(CD)=10+24=34 cm  , Так как Mod(CB)-это просто длина вектора СВ , а Mod(CD)- просто длина вектора CD

2.CB+CD=CA (сложение по правилу параллелограмма) ,

Mod (CА)= длина СА - находим по т.Пифагора.

СА= sqrt (24²+10²) =sqrt(676) =26 cm=> Mod(CB+CD)=26 cm

3. Mod(BA)-Mod(DA)=10-24=-14 cm -По той же причине, что и пункт первый задания. ,  так как Mod(BА)-это просто длина вектора СВ , а Mod(DА)- просто длина вектора DА

4. BA-DA=BA+AD=BD

Длину BD опять находим по т. Пифагора

BD= sqrt (24²+10²) =sqrt(676) =26 cm=> Mod(BA-DA)=26 cm .

4,5(15 оценок)
Это интересно:
Новые ответы от MOGZ: Геометрия
logo
Вход Регистрация
Что ты хочешь узнать?
Спроси Mozg
Открыть лучший ответ