М
Молодежь
К
Компьютеры-и-электроника
Д
Дом-и-сад
С
Стиль-и-уход-за-собой
П
Праздники-и-традиции
Т
Транспорт
П
Путешествия
С
Семейная-жизнь
Ф
Философия-и-религия
Б
Без категории
М
Мир-работы
Х
Хобби-и-рукоделие
И
Искусство-и-развлечения
В
Взаимоотношения
З
Здоровье
К
Кулинария-и-гостеприимство
Ф
Финансы-и-бизнес
П
Питомцы-и-животные
О
Образование
О
Образование-и-коммуникации
Бацио
Бацио
19.10.2021 07:47 •  Геометрия

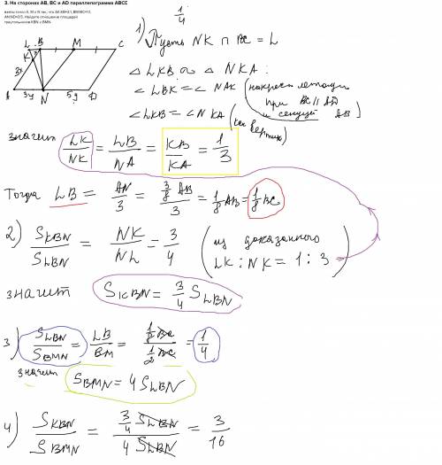
3. На сторонах AB, BC и AD параллелограмма ABCD взяты точки K, M и N так, что АК:KB=3:1, BM:MC=1:1,
AN:ND=3:5. Найдите отношение площадей
треугольников KBN и BMN.

👇
Ответ:

Объяснение:На сторонах AB, BC и AD параллелограмма ABCD

взяты точки K, M и N так, что АК:KB=3:1, BM:MC=1:1,

AN:ND=3:5. Найдите отношение площадей

треугольников KBN и BMN


3. На сторонах AB, BC и AD параллелограмма ABCD взяты точки K, M и N так, что АК:KB=3:1, BM:MC=1:1,
4,6(66 оценок)
Открыть все ответы
Ответ:
savikdaniil3
savikdaniil3
19.10.2021

Период:1451-1506

Путешественник: Христофор Колумб

Вклад:первый пересек Атлантический океан в субтропической и тропической полосе Северного полушария и первый из европейцев плавал в американском «Средиземном» море. Он положил начало открытию материка Южной Америки и перешейков Центральной Америки.

Период:1480-1521

Путешественник:Фернанд Магеллан

Вклад:совершившей первое известное кругосветное путешествие. Открыл пролив, позже названный его именем, став первым европейцем, проследовавшим по морю из Атлантического океана в Тихий.

4,5(19 оценок)
Ответ:

S=525 (см²).

Объяснение:

Ваня разрезал лист ватмана на две прямоугольные части.потом он нашел,что периметры этих частей равны 80 и 90 см. Кроме того,он помнит,что периметр целого листа ватмана был равен 1 метру. Найдите площадь этого листа.

Обозначение:

х - одна сторона первого прямоугольника.

у - одна сторона второго прямоугольника.

z - линия разреза, является второй стороной и первого и второго прямоугольников и шириной листа ватмана.

Р первого прямоугольника:

2х+2z=80 (см), отсюда:

2z=80-2х

Р второго прямоугольника:

2у+2z=90 (см), отсюда  

2z=90-2у.

Р листа ватмана:

2х+2у+2z=100 (см), отсюда

2z=100-2х-2у.

Приравняем правые части двух уравнений, так как левые равны:

80-2х =100-2х-2у

-2х+2х+2у=100-80

2у=20

у=10 (см) - одна сторона второго прямоугольника.

Теперь можно вычислить сторону z, которая является меньшей стороной ватмана, и второй стороной и первого и второго прямоугольников:

2z=90-2y

2z=90-20

2z=70

z=35 (см) - длина линии разреза, меньшая сторона ватмана.

Теперь можно вычислить сторону х:

2z=80-2х

2х=80-2z

2x=80-70

2x=10

x=5 (см) - одна сторона первого прямоугольника.

Проверка:

Р первого прямоугольника:

2*5+2*35=80 (см), верно.

Р второго прямоугольника:

2*10+2*35=90 (см), верно.

Р листа ватмана:

2*5+2*10*2*35=100, верно.

Теперь можно найти площадь листа ватмана:

(х+у) - длина;

z - ширина.

S=(5+10)*35=525 (см²).

4,5(32 оценок)
Это интересно:
Новые ответы от MOGZ: Геометрия
logo
Вход Регистрация
Что ты хочешь узнать?
Спроси Mozg
Открыть лучший ответ