М
Молодежь
К
Компьютеры-и-электроника
Д
Дом-и-сад
С
Стиль-и-уход-за-собой
П
Праздники-и-традиции
Т
Транспорт
П
Путешествия
С
Семейная-жизнь
Ф
Философия-и-религия
Б
Без категории
М
Мир-работы
Х
Хобби-и-рукоделие
И
Искусство-и-развлечения
В
Взаимоотношения
З
Здоровье
К
Кулинария-и-гостеприимство
Ф
Финансы-и-бизнес
П
Питомцы-и-животные
О
Образование
О
Образование-и-коммуникации
Kember
Kember
15.12.2022 21:04 •  Геометрия

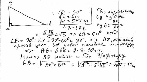
.(Впрямоугольном треугольнике авс ( угол с=90 градусов) ас=5см, вс=5 корень из 3 см. найдите угол в и гипотенузу ав.).

👇
Ответ:
graf2231
graf2231
15.12.2022
Гм. Раз решил и копирую решения.

.(Впрямоугольном треугольнике авс ( угол с=90 градусов) ас=5см, вс=5 корень из 3 см. найдите угол в
4,4(37 оценок)
Открыть все ответы
Ответ:

Дано:

SABCD - правильная четырёхугольная пирамида

AB = 16 см  SO - высота  SO⊥(ABCD)  SO = 12 см

------------------------------------------------------------------------------

Найти:

AS - ?

Так как ABCD - квадрат, тогда основание высоты AC∩BD = O, и диагональ квадрата будет равен:

AC = AB×√2 = 16 см × √2 = 16√2 см ⇒ AC = BD = 16√2 см

И сторона AO равен:

AO = OC = 1/2 × AC = 1/2 × 16√2 см = 16√2/2 см = 8√2 см

Так как ΔSOA - прямоугольный (∠SOA = 90°), тогда используется по теореме Пифагора:

SA² = SO² + AO² ⇒ SA = √SO² + AO² - теорема Пифагора

SA = √(12 см)² + (8√2 см)² = √144 см² + 128 см² = √272 см² = √16×17 см² = 4√17 см

ответ: SA = 4√17 см

P.S. Рисунок показан внизу↓


высота правильной четырёхугольной пирамиды равна 12 см а сторона основания 16 см найдите боковую сто
4,7(70 оценок)
Ответ:
PowerSell
PowerSell
15.12.2022

1.  а) 176 см²;  б)  4 см.

2.  113,4 см²

3.  7,8 см.

4.  1)  5 см;  2)  10 см;  3)  8 см.

Объяснение:

1.  Площадь параллелограмма равна S=ah.

a) S=16*11=176 см ².

б)  S=ah; a=S/h=102/25.5=4 см .

***

2.  Проведем высоту ВЕ⊥AD.

Из ΔАВЕ ВЕ/АВ=Sin30°, откуда ВЕ=14*(1/2)=7 см.

S=AD*BE=16.2*7= 113.4 см².

***

3.  S=ah, где а=9 см,  b =2.6 см;  S=9*2.6= 23.4  см².

S=ah,  где а=3. Найдем h.

3h=23.4;

h=23.4/3;

h=7.8 см.

Доп. вопрос: Не зависит, главное, чтобы она была правильной и применима к данной фигуре.

***

4.  2h=a;

S=ah;

H=2(a+b).

S=2h*h=50;

2h²=50;

h²=25;

h=√25=±5;  (-5 - не соответствует условию).

1)  h=5 см .

а=2h=2*5=10 см.

2)  а=10 см.

Р= 2(a+b);

2(10+b)=36;

10+b=18;

3) b=8 см.

4,6(84 оценок)
Это интересно:
Новые ответы от MOGZ: Геометрия
Полный доступ к MOGZ
Живи умнее Безлимитный доступ к MOGZ Оформи подписку
logo
Вход Регистрация
Что ты хочешь узнать?
Спроси Mozg
Открыть лучший ответ