М
Молодежь
К
Компьютеры-и-электроника
Д
Дом-и-сад
С
Стиль-и-уход-за-собой
П
Праздники-и-традиции
Т
Транспорт
П
Путешествия
С
Семейная-жизнь
Ф
Философия-и-религия
Б
Без категории
М
Мир-работы
Х
Хобби-и-рукоделие
И
Искусство-и-развлечения
В
Взаимоотношения
З
Здоровье
К
Кулинария-и-гостеприимство
Ф
Финансы-и-бизнес
П
Питомцы-и-животные
О
Образование
О
Образование-и-коммуникации
azharik2k17
azharik2k17
28.02.2022 10:31 •  Геометрия

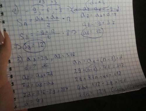
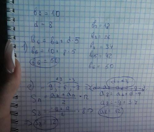
сор пд 1. Найдите 6-й член арифметических прогрессии (bn) если b1=10 и d=8
2. Найдите сумму 8 первых членов арифметической прогрессии -9;-6;-3
3. Является ли число 112 членом арифметической прогрессии (аn) в которой a1=29 и a8=316?
4.Найдите сумму всех натуральных чисел, кратных 6 и не превосходящих 100.

👇
Ответ:
misa26
misa26
28.02.2022

Все решила, кроме последнего :(

Но надеюсь что !!


сор пд 1. Найдите 6-й член арифметических прогрессии (bn) если b1=10 и d=8 2. Найдите сумму 8 первых
сор пд 1. Найдите 6-й член арифметических прогрессии (bn) если b1=10 и d=8 2. Найдите сумму 8 первых
сор пд 1. Найдите 6-й член арифметических прогрессии (bn) если b1=10 и d=8 2. Найдите сумму 8 первых
4,8(12 оценок)
Открыть все ответы
Ответ:
zka20zka20
zka20zka20
28.02.2022

CD = 4,7 см; DE = 10,5 см; HF = 11 см.

Объяснение:

1) Согласно условию задачи, ΔCDE = ΔHOF.

В равных треугольниках соответственные стороны равны.

В ΔCDE задана только одна сторона СЕ = 11 см, тогда как в ΔHOF заданы 2 стороны (HO =4,7 см и OF = 10,5 см); так как среди двух заданных сторон треугольника HOF нет ни одной стороны, равной 11 см, то делаем вывод о том, что третья сторона ΔHOF равна стороне СЕ ΔCDE:

НF = CE = 11 см.

2) Из п. 1 решения следует, что:

вершине Н треугольника HOF соответствует вершина С в треугольнике CDE;

вершине F треугольника HOF соответствует вершина Е в треугольнике CDE.

Следовательно:

вершине О треугольника HOF соответствует вершина D в треугольнике CDE, откуда:

CD = HO = 4,7 см;

DE = OF = 10,5 см.

ответ:  остальные стороны треугольника CDE:

CD = 4,7 см; DE = 10,5 см;

неизвестная сторона треугольника HOF  HF= 11 см.

4,6(83 оценок)
Ответ:
seryogasaprikin
seryogasaprikin
28.02.2022

1. т.к. диагонали ромба взаимно перпендикулярны, точкой пересечения делятся пополам, то сторона находится из прямоугольного треугольника, в котором известны два катета - половины диагоналей, а сторона является гипотенузой этого треугольника. По Пифагору

эта сторона равна √((4/2)²+(4√3/2)²)=√(4+12)=√16=4

2. Получаем, что сторона равна одной из диагоналей ромба, а стороны равны у ромба, значит, эта диагональ делит ромб на два равносторонних треугольника. В них все углы по 60°. А т.к. углы, прилежащие к одной стороне  ромба в сумме составляют 180°, то тупой угол ромба равен 180°-60°=120°

ответ 120°

4,7(21 оценок)
Это интересно:
Новые ответы от MOGZ: Геометрия
logo
Вход Регистрация
Что ты хочешь узнать?
Спроси Mozg
Открыть лучший ответ