М
Молодежь
К
Компьютеры-и-электроника
Д
Дом-и-сад
С
Стиль-и-уход-за-собой
П
Праздники-и-традиции
Т
Транспорт
П
Путешествия
С
Семейная-жизнь
Ф
Философия-и-религия
Б
Без категории
М
Мир-работы
Х
Хобби-и-рукоделие
И
Искусство-и-развлечения
В
Взаимоотношения
З
Здоровье
К
Кулинария-и-гостеприимство
Ф
Финансы-и-бизнес
П
Питомцы-и-животные
О
Образование
О
Образование-и-коммуникации

Диаметр окружности мк, где м(-1; -4) и к(7; 2). найдите ординаты точек пересечения окружности с осью оу.

👇
Ответ:
Gklunnyy123
Gklunnyy123
21.03.2020
Центр окружности O(x_0;y_0) лежит в середине диаметра. Находим координаты с формулы середины отрезка.

x_0=\frac{-1+7}{2}=3 \\ y_0=\frac{-4+2}{2}=-1

Радиус окружности - половина длины диаметра. Найдем расстояние между точками M и K и поделим результат на 2.

MK=\sqrt{(-1-7)^2+(-4-2)^2}=\sqrt{64+36}=10
r=5

Уравнение окружности с центром (x_0;y_0) и радиусом r:

(x-x_0)^2+(y-y_0)^2=r^2

В нашем случае (x-3)^2+(y+1)^2=25

Окружность пересекает ось Оу там, где x=0. Подставляем в уравнение окружности.

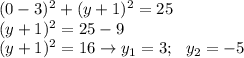
(0-3)^2+(y+1)^2=25 \\ (y+1)^2=25-9 \\ (y+1)^2=16 \to y_1=3; \ \ y_2=-5

ответ: -5 и 3.
4,6(57 оценок)
Открыть все ответы
Ответ:
Taddi
Taddi
21.03.2020
1)Так как АD -биссектриса,то ∠ CAD=∠BAD= 10°
Значит ∠A= 20°
 ∠B=180°-∠A-∠С=180°-20°-81°=79°

2) Так как АD -биссектриса,то ∠ CAD=∠BAD= 49°
Значит ∠A= 98°
 ∠B=180°-∠A-∠С=180°-98°-71°=10°
В треугольнке ABD
 
∠ADB=180°-∠BAD-∠B=180°-49°-10°=121°

3)В треугольнике АВС АС=ВС, значит треугольник равнобедренный и углы при основании равны,∠ABС= ∠ВAС
Так как ∠ ВАD= 35° и сумма острых углов прямоугольного треугольника равна 90 °, то ∠ АВD= 90°- 35°=55°
 ∠А=∠В=55°
∠С=180°-∠А-∠В=180°-55°-55°=70°

4) Сумма углов четырехугольника АЕОD равна 360°
Два угла по 90° (угол Е и угол D) и один 75°( угол А)
Значит ∠EOD=360°-90°-90°-75°=105°
4,8(82 оценок)
Ответ:
yuriymakarov1
yuriymakarov1
21.03.2020

Пусть плоскости α и β параллельны, прямая а перпендикулярна плоскости α. Докажем, что эта прямая перпендикулярна и плоскости β.

В плоскости α проведем две пересекающиеся прямые b и с.

Так как прямая а перпендикулярна плоскости α, то она перпендикулярна каждой из этих прямых.

В плоскости β проведем прямые d║b и е║с.

Если прямая перпендикулярна одной из параллельных прямых, то она перпендикулярна и другой.

Значит, а ⊥ d и а ⊥ е.

Если прямая перпендикулярна двум пересекающимся прямым плоскости, то она перпендикулярна плоскости, ⇒

а ⊥ β.


Докажите, что если прямая перпендикулярна одной из параллельных плоскостей, то она перпендикулярна и
4,5(81 оценок)
Это интересно:
Новые ответы от MOGZ: Геометрия
logo
Вход Регистрация
Что ты хочешь узнать?
Спроси Mozg
Открыть лучший ответ