М
Молодежь
К
Компьютеры-и-электроника
Д
Дом-и-сад
С
Стиль-и-уход-за-собой
П
Праздники-и-традиции
Т
Транспорт
П
Путешествия
С
Семейная-жизнь
Ф
Философия-и-религия
Б
Без категории
М
Мир-работы
Х
Хобби-и-рукоделие
И
Искусство-и-развлечения
В
Взаимоотношения
З
Здоровье
К
Кулинария-и-гостеприимство
Ф
Финансы-и-бизнес
П
Питомцы-и-животные
О
Образование
О
Образование-и-коммуникации
nikitossmile1
nikitossmile1
30.11.2020 05:57 •  Геометрия

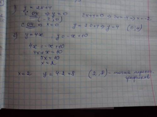
Найдите координаты точек пересечения функции y= 2x+4 с осями координат 2) у= 4х и у=-х+10

👇
Ответ:
aa1055000p0c7vs
aa1055000p0c7vs
30.11.2020
Решение во вложенииииииииииииииииииииииииии

Найдите координаты точек пересечения функции y= 2x+4 с осями координат 2) у= 4х и у=-х+10
4,4(91 оценок)
Открыть все ответы
Ответ:
Lissa000
Lissa000
30.11.2020
Прямоугольный параллелепипед АВСДФ1В1С1Д1, В1Д=57, СД/АД/В1В=6/10/15=6х/10х/15х, в основании прямоугольник АВСД, ВД в квадрате=АД в квадрате+АВ в квадрате= 100*х в квадрате+36*х в квадрате=136*х в квадрате, трегольникВ1ВД прямоугольный, ВД в квадрате=В1Д в квадрате-В1В в квадрате=3249-225*х в квадрате, 136*х в квадрате=3249-225*х в квадрате, 361*х в квадрате=3249, х=3, АД=10*3=30, СД=6*3=18, В1В=15*3=45, площади оснований=2*АД*СД=2*30*18=960, площадь боковой=периметр основания*высоту=(30+18+30+18)*45=4320, полная площадь=960+4320=5280
4,8(5 оценок)
Ответ:

первое   

2R sin(&/2) ;2r tg(&/2) ; &- угол с вершиной вцентре тре--ка образованного стороной и ценром ; большой и малыйрадиусы - соответственно. Справедливо для любого правильного мн - ка.

тааакссс второе ты похоже пропустила буковку с когда написала м    см ведь имеются ввиду?Я проходила это задание в 9 м классе

 

1. Во вписанном тр-ке сторона = радиусу = 9.
2. В описанном: высота правильного трка с основанием, = стороне, = 9. Угол при вершине тр-ка = 36. Находи по синусу.

 

третье

Апофема (от греч. apotithçмi — откладываю в сторону), 1) длина перпендикуляра, опущенного из центра правильного многоугольника на любую из его сторон .

Т.е. высота правильного треугольника со стороной 14. Формула в любом учебнике.

 

4,4(100 оценок)
Это интересно:
Новые ответы от MOGZ: Геометрия
logo
Вход Регистрация
Что ты хочешь узнать?
Спроси Mozg
Открыть лучший ответ