М
Молодежь
К
Компьютеры-и-электроника
Д
Дом-и-сад
С
Стиль-и-уход-за-собой
П
Праздники-и-традиции
Т
Транспорт
П
Путешествия
С
Семейная-жизнь
Ф
Философия-и-религия
Б
Без категории
М
Мир-работы
Х
Хобби-и-рукоделие
И
Искусство-и-развлечения
В
Взаимоотношения
З
Здоровье
К
Кулинария-и-гостеприимство
Ф
Финансы-и-бизнес
П
Питомцы-и-животные
О
Образование
О
Образование-и-коммуникации
owe4kinad
owe4kinad
19.03.2020 17:14 •  Геометрия

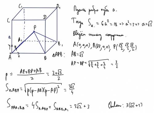
Поверхность куба равна 18. найдите боковую поверхность четырёхугольной пирамиды, основанием которой является грань куба, а вершиной – центр куба.

👇
Ответ:
GoldGriffon
GoldGriffon
19.03.2020
Решение на картинке.
Поверхность куба равна 18. найдите боковую поверхность четырёхугольной пирамиды, основанием которой
4,8(84 оценок)
Открыть все ответы
Ответ:
Tokalexandra
Tokalexandra
19.03.2020
Есть вариант, не знаю подойдет ли:

Провести из точек B и D (тех, что лежат на линии b) перпендикуляры к линии a.

Получилось 2 треугольника, обозначим их как ABX и CDY.

Угол X = углу Y = 90 градусов

XA = YD (т.к. XA и YD парралельны прямым a и b)

угол B равен углу D (т.к. прямые a||b, и AB||CD.)

По второму свойству равенств треугольников: "Если сторона и 2 прилежащих угла равны, то равны и треугольники".

угл. X = угл. Y
XA = YD 
угл. B = угл. D

следовательно

ΔABX = ΔCDX

Т.к. треугольники равны - равны и их стороны

Следовательно AB = CD

---------------Дополнение---------------------
Был найден еще

Параллельные прямые а и в пересечены двумя параллельными секущими ав и сд, причем а и с принадлежат
4,8(99 оценок)
Ответ:
vikaadvova
vikaadvova
19.03.2020
При пересечении двух прямых образуется 4 угла  <A, <B, <C, <D (см. рисунок), причем <A и <B (<A и <D, <D и <C,  <B и <C) - смежные углы, одна сторона у них общая.
<A и <C, <B и <D - вертикальные углы, стороны одного являются продолжением сторон другого.
Смежные углы в сумме равны 180°, так как образуют развернутый угол.
Итак, <A+<B=180° и <B+<C=180°, значит <A=180° - <B и <C=180° - <B.
Так как <B - это один и тот же угол, то <A=<C, а это вертикальные углы.
Можно сказать, что вертикальные углы равны, потому что они дополняют один и тот же угол до 180°.
Почему вертикальные углы равны? завтра экзамен, : с
4,4(82 оценок)
Это интересно:
Новые ответы от MOGZ: Геометрия
logo
Вход Регистрация
Что ты хочешь узнать?
Спроси Mozg
Открыть лучший ответ