М
Молодежь
К
Компьютеры-и-электроника
Д
Дом-и-сад
С
Стиль-и-уход-за-собой
П
Праздники-и-традиции
Т
Транспорт
П
Путешествия
С
Семейная-жизнь
Ф
Философия-и-религия
Б
Без категории
М
Мир-работы
Х
Хобби-и-рукоделие
И
Искусство-и-развлечения
В
Взаимоотношения
З
Здоровье
К
Кулинария-и-гостеприимство
Ф
Финансы-и-бизнес
П
Питомцы-и-животные
О
Образование
О
Образование-и-коммуникации
uchenica7
uchenica7
28.12.2022 07:56 •  Геометрия

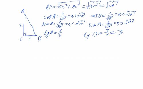
Найти синус косинус угла и тагенс углов а и в треугольника авс с прямым углом с, если вс=1дм ас=3дм

👇
Ответ:
RAYDEN02
RAYDEN02
28.12.2022
Находим гипотенузу то теореме Пифагора
Найти синус косинус угла и тагенс углов а и в треугольника авс с прямым углом с, если вс=1дм ас=3дм
4,6(6 оценок)
Открыть все ответы
Ответ:
verayusupova86
verayusupova86
28.12.2022

Объяснение:

Холод ночи

Холод ночи; смёрзлись лужи;

Белый снег запорошил.

Но в дыханьи злобной стужи

Чую волю вешних сил.

Завтра, завтра солнце встанет,

Побегут в ручьях снега,

И весна с улыбкой взглянет

На бессильного врага!

1896 г.

ТЕГИ:

О ВЕСНЕ

О ПРИРОДЕ

СЕРЕБРЯНЫЙ ВЕК

СТИХИ ВАЛЕРИЯ БРЮСОВА — О ВЕСНЕ

СТИХИ ВАЛЕРИЯ БРЮСОВА — О ПРИРОДЕ

ЕЩЁ

Валерий Брюсов

Валерий Брюсов

К стихотворениям Валерия Брюсова писали музыку Сергей Рахманинов и Михаил Гнесин, Александр Гречанинов и Рейнгольд Глиэр. Однако поэт не только сочинял стихи — он создавал пьесы и переводил зарубежных авторов, выпускал журналы и руководил литературным институтом. Валерий Брюсов стал одним из основоположников русского символизма.

ЧИТАТЬ БИОГРАФИЮ

4,6(4 оценок)
Ответ:
sabovkristiурис
sabovkristiурис
28.12.2022
Вероятно, в задаче идет речь о построении перпендикуляра к прямой, проходящего через данную точку на прямой, с циркуля и линейки.

Дано: прямая а, точка А, принадлежащая прямой.

1) Проведем окружность произвольного  радиуса с центром в точке А. Точки пересечения окружности с прямой а обозначим В и С.
2) Проведем две окружности одинакового произвольного радиуса (большего половины отрезка ВС), с центрами в точках В и С.
3) Через точки пересечения этих окружностей (К и Н) проведем прямую b.
Прямая b - искомый перпендикуляр к прямой а.

Доказательство:
А - середина отрезка ВС по построению (АВ = АС как радиусы одной окружности). Тогда КА - медиана треугольника ВКС.
Треугольник ВКС равнобедренный, так как ВК = СК как равные радиусы. Значит медиана КА является и высотой, т.е. КА⊥а.
4,7(3 оценок)
Новые ответы от MOGZ: Геометрия
logo
Вход Регистрация
Что ты хочешь узнать?
Спроси Mozg
Открыть лучший ответ