М
Молодежь
К
Компьютеры-и-электроника
Д
Дом-и-сад
С
Стиль-и-уход-за-собой
П
Праздники-и-традиции
Т
Транспорт
П
Путешествия
С
Семейная-жизнь
Ф
Философия-и-религия
Б
Без категории
М
Мир-работы
Х
Хобби-и-рукоделие
И
Искусство-и-развлечения
В
Взаимоотношения
З
Здоровье
К
Кулинария-и-гостеприимство
Ф
Финансы-и-бизнес
П
Питомцы-и-животные
О
Образование
О
Образование-и-коммуникации
xzc999
xzc999
23.01.2021 02:08 •  Геометрия

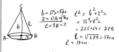
Высота конуса-15 см, радиус-8 см. производитель конуса?

👇
Ответ:
крот521
крот521
23.01.2021
Образующая (в каком-то смысле производитель, вероятно иностранец) . 

Высота конуса-15 см, радиус-8 см. производитель конуса?
4,8(70 оценок)
Открыть все ответы
Ответ:
lolkek6969
lolkek6969
23.01.2021
АВСД - трапеция, АД-ВС=14 см, Р=86 см, ∠АВД=∠СВД, АВ=СД.
В трапеции биссектриса отсекает от противоположного основания отрезок, равный боковой стороне, прилежащей к биссектрисе (свойство трапеции, да и параллелограмма тоже). В нашем случае биссектриса - это диагональ, значит АВ=АД.
АВ=АД=СД, ВС=АД-14 ⇒ Р=4·АД-14,
86=4АД-14,
АД=25 см.
ВМ - высота на сторону АД.
В равнобедренной трапеции АМ=(АД-ВС)/2=14/2=7 см.
В тр-ке АВМ ВМ=√(АВ²-АМ²)=√(25²-7²)=24 см.
ВС=АД-14=25-14=11 см.
Площадь трапеции: S=(АВ+ВС)·ВМ/2=(25+11)·24/2=432 см² - это ответ.
4,6(52 оценок)
Ответ:
nyk156
nyk156
23.01.2021
В рассуждениях нужно использовать признаки делимости...
кратное 18 ---> оно делится на 2 и на 9
т.е. оно четное --- заканчивается на 0 или 2 или 4 или 6 или 8
и сумма цифр числа делится на 9 (это признак делимости на 9)))
получим варианты:
a b с d 0
a b с d 2
a b с d 4
a b с d 6
a b с d 8
и теперь второе условие: соседние цифры отличаются на 2
для первого варианта: a b с 2 0,     a b 0 2 0 или a b 4 2 0
a+b+2 = 9 или a+b+4+2 = 9
a+b = 7              a+b = 3 ---> 12420, например
18 * 690 = 12420
но, первые цифры не на 2 отличаются... не получилось...
но смысл рассуждений такой же)))
пробуем еще...
у меня получилось:
24246 / 18 = 1347
можно попробовать и еще найти...
4,6(94 оценок)
Это интересно:
Новые ответы от MOGZ: Геометрия
logo
Вход Регистрация
Что ты хочешь узнать?
Спроси Mozg
Открыть лучший ответ