М
Молодежь
К
Компьютеры-и-электроника
Д
Дом-и-сад
С
Стиль-и-уход-за-собой
П
Праздники-и-традиции
Т
Транспорт
П
Путешествия
С
Семейная-жизнь
Ф
Философия-и-религия
Б
Без категории
М
Мир-работы
Х
Хобби-и-рукоделие
И
Искусство-и-развлечения
В
Взаимоотношения
З
Здоровье
К
Кулинария-и-гостеприимство
Ф
Финансы-и-бизнес
П
Питомцы-и-животные
О
Образование
О
Образование-и-коммуникации
SuperGirl1111468
SuperGirl1111468
03.12.2021 00:40 •  Геометрия

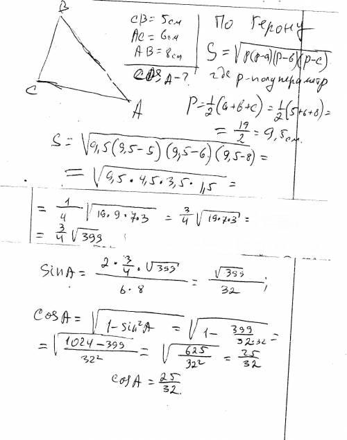
Длины сторон треугольника 5 6 и 8. найдите косинус наименьшего угла треугольника. не через теорему косинусов

👇
Ответ:
плвлаовг
плвлаовг
03.12.2021
Решение смотри в файле
4,4(56 оценок)
Ответ:
Света20177
Света20177
03.12.2021
Решение в скане........

Длины сторон треугольника 5 6 и 8. найдите косинус наименьшего угла треугольника. не через теорему к
4,4(87 оценок)
Открыть все ответы
Ответ:
kurbanbaevarseN
kurbanbaevarseN
03.12.2021
При каких значениях b и c график функции y=x²+bx+c проходит через точки с координатами (- 4;0) и (6;0)
* * * * * * * * * * * * * * * * * * * * 
Первый

Получаем систему уравнений  из условии   x =- 4; y = 0   и    x =6; y = 0 .
{  (-4)² +b*(-4)+c =0  ; 6² +b*6+c =0 .
Решая  эту систему  получаем значения  b  и  c. 
{  -4b +c = -16  ; 6b+c = -36 . 
Вычитаем второе уравнение системы из первого  уравнения
-10b = 20   ⇒ b = - 2 ; 
Из первого уравнения
с = -16 +4b = -16 +4*(-2) = -16 -8 = -24 .
* * *или   из второго уравнения с = -36 -6b=-36 -6(-2) = -36 +12 = - 24. * * *

ответ:  b = -2 ,  с = -24.
* * * * * * * * * * * * * * * *
Второй
Точки  (-4;0) и (6;0)  через которых проходит  график функции                           y=x²+bx+c (приведенного квадратного трехчлена)    расположены на оси абсцисс (ось )   абсциссы этих точек являются корнями трехчлена
Поэтому согласно  теореме Виета можем  написать 
b = -(x₁+x₂) = -(-4 +6) = -2 ;
c = x₁*x₂ = (-4)*6 = -24.

Удачи !
4,7(5 оценок)
Ответ:
irina197505
irina197505
03.12.2021
Так как известно что треугольник равнобедреный и то что дан угол 62 градусов,следует из этого:
1) свегда в треугоольнике сумма всех углов ровни 180 градусов
2) в равнобедренном треугольнике 2 стороны и 2 угла ровны
зная это мы можем решить эту задачу, для этого нам нужно из 180-62 и поделить на 2 тогда мы получим градусную велечину 1 угла, а зная 2 свойство которое я привела можно смело утверждать что 1 угол будет равен второму.
180-62
= 59градусов
2
ответ: углы ровны между собой и равны 59 грдусов.
4,6(68 оценок)
Это интересно:
Новые ответы от MOGZ: Геометрия
logo
Вход Регистрация
Что ты хочешь узнать?
Спроси Mozg
Открыть лучший ответ