М
Молодежь
К
Компьютеры-и-электроника
Д
Дом-и-сад
С
Стиль-и-уход-за-собой
П
Праздники-и-традиции
Т
Транспорт
П
Путешествия
С
Семейная-жизнь
Ф
Философия-и-религия
Б
Без категории
М
Мир-работы
Х
Хобби-и-рукоделие
И
Искусство-и-развлечения
В
Взаимоотношения
З
Здоровье
К
Кулинария-и-гостеприимство
Ф
Финансы-и-бизнес
П
Питомцы-и-животные
О
Образование
О
Образование-и-коммуникации
msajkina
msajkina
09.09.2020 11:18 •  Геометрия

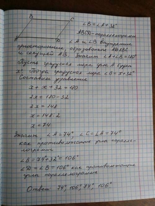
Знайдіть кути паралелограма, якщо один із них на 32 градуси менше від другого. !

👇
Ответ:
savallll
savallll
09.09.2020

решение представлено на фото

Объяснение:


Знайдіть кути паралелограма, якщо один із них на 32 градуси менше від другого. !
4,8(65 оценок)
Открыть все ответы
Ответ:
khokhr
khokhr
09.09.2020
Так как требуется узнать угол между прямой MN и плоскостью BSC, то повернём заданную пирамиду так, чтобы эта плоскость была её основанием.
Примем систему координат с нулём в точке К - это середина стороны ВС, через точку S - ось у, через точку С - ось х и вертикальная ось - z.
Рассмотрим треугольник KAS в осевом сечении пирамиды.
Сторона КА = √(2²-(2/2)²) = √3 =  1.732051.
Сторона KS = √(3²-(2/2)²) = √8 =  2.828427.
Найдем высоту из точки А  - это будет координата z этой точки:
ha =2√(p(p-a)(p-b)(p-c))/a =  1.695582.
Здесь р - полупериметр, р =  3.780239.
По теореме косинусов определим косинус угла ASK:
cos ASK =  (a²+b²-c²)/(2ab) = (3²+(√8)²-(√3)²)/(2*3*√8) =
 (14/6√8) = 0.82496.
Основание высоты из точки А обозначим Е.
Тогда расстояние КЕ = √8-3*cos ASK = √8-3*0,82496 = 0,353553.
Определим координаты вершин пирамиды:
С(1;0;0)   В(-1;0;0)   S(0;2.82842;0)  А(0;,353553;1.695582).
Теперь переходим к координатам точек M и N.
Координаты точки N являются средними между точками С и А:
N(0,5;0,176777;0,847791).
Координаты точки M находим по формуле деления отрезка в заданном соотношении λ:
х = (х₁+λх₂)/(1+λ), по такой же формуле y и z.
М(-0,666667;0,942809;0)
Находим длину отрезка MN по формуле 
d =√ ((х₂ - х₁ )² + (у₂ - у₁ )² + (z₂ – z₁ )²):
MN =  0.5 0.176777 0.847791 -0.66667 0.942809 0 = 1.632993
Углом между прямой и плоскостью называется угол, образованный прямой и её проекцией на плоскость.
Длину  проекции на плоскость найдем по предыдущей формуле, исключив вертикальную координату точки N:
.MN₁ =  0.5 0.176777 0 -0.66667 0.942809 0 = 1.395678.
Отсюда косинус искомого угла равен:
 cos α = 1.395678 / 1.632993 =  0.854675
α = 0.545872 радиан = 31.2762°.
Дана правильная трехугольная пирамида sabc, сторона основания равна 2,боковое ребро - 3. надо найти
4,6(20 оценок)
Ответ:
VicktoriaGra
VicktoriaGra
09.09.2020
Пусть у тебя куб ABCDA1B1C1D1 (у меня нижняя грань ABCD)рассмотрим треугольник D1DB:пусть а- ребро куба рассмотрим тр ADB:AD=AB=aугол DAB=90гр, так как куб,следовательно, по теореме пифагораDB=а* корень из 2рассмотрим тр D1DB:угол D1DB=90 гр, так как куб и плоскости граней перпендикулярныDD1=ADB=a* корень из 2D1B=6по теореме Пифагора6 в квадрате=а в квадрате * (а *корень из 2)в квадратеотсуда а=корень из 12 угол между прямо и плоскость это угол между прямой проэкцией это прямой на плоскость.проэкцией прямой D1B на плоскость ABCD будет DB (если не знаешь почему, спроси, объясню)значит нам нужен косину угла D1BDкосинус угра = отношению прилежащего катета к гипотенузекосD1BD=DB/BD1косD1BD=а*корень из 2 /6=а* корень из(2/12)=а/корень из 6
4,8(68 оценок)
Новые ответы от MOGZ: Геометрия
logo
Вход Регистрация
Что ты хочешь узнать?
Спроси Mozg
Открыть лучший ответ