М
Молодежь
К
Компьютеры-и-электроника
Д
Дом-и-сад
С
Стиль-и-уход-за-собой
П
Праздники-и-традиции
Т
Транспорт
П
Путешествия
С
Семейная-жизнь
Ф
Философия-и-религия
Б
Без категории
М
Мир-работы
Х
Хобби-и-рукоделие
И
Искусство-и-развлечения
В
Взаимоотношения
З
Здоровье
К
Кулинария-и-гостеприимство
Ф
Финансы-и-бизнес
П
Питомцы-и-животные
О
Образование
О
Образование-и-коммуникации
sogoyan2016
sogoyan2016
19.04.2021 23:35 •  Геометрия

Чему равно число сторон выпуклого многоугольника, если число диагоналей больше числа сторон на 12? как решить без дискриминанта?

👇
Ответ:
andbliev
andbliev
19.04.2021
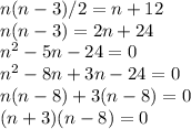
Число сторон n. Число диагоналей: n(n-3)/2. Имеем

n(n-3)/2 = n+12\\
n(n-3) = 2n+24\\
n^2-5n-24=0\\
n^2-8n+3n-24=0\\
n(n-8)+3(n-8)=0\\
(n+3)(n-8)=0

Значит n=8, так как n=-3 не подходит по условию задачи
4,8(20 оценок)
Открыть все ответы
Ответ:
vika05lida811
vika05lida811
19.04.2021
Давайте сначала рассмотрим две точки и посмотрим, при каких условиях прямая будет равноудалена от них (первый рисунок). Я утверждаю, что так будет, если или она параллельна отрезку, соединяющему эти точки, или проходит через середину этого отрезка.

Доказательство несложно: если прямая параллельна отрезку, то расстояние от неё до любой точки отрезка одинаково; в противном случае она пересекает прямую, содержащую отрезок. Но вне отрезка она пересечь не может - см. нижний рисунок, отрезки AHa, BHb не равны, поэтому она пересекает в некоторой точке C, принадлежащей отрезку (смотрим на верхний рисунок).
Опустим из точек перпендикуляры на прямую. Прямая равноудалена от точек, поэтому AHa = BHb. Кроме того, равны углы ACHa и BCHb - вертикальные. Отсюда прямоугольные треугольники ACHa и BCHb равны по катету и острому углу, и AC = CB.

Теперь возвращаемся к задаче. Будем думать, что нам даны вершины треугольника ABC. Искомая прямая не может быть параллельна более, чем одной стороне треугольника, две стороны она точно пересекает в середине. Значит, это средняя линия треугольника. Легко проверить, что средняя линия удовлетворяет условию.

ответ. (Второй рисунок) Искомая прямая - средняя линия треугольника, образованного данными точками. Задача имеет три решения - по числу средних линий.
Даны три точки, не лежащие на одной прямой. проведите прямую, равноудалённую от этих точек. сколько
Даны три точки, не лежащие на одной прямой. проведите прямую, равноудалённую от этих точек. сколько
4,5(32 оценок)
Ответ:
sabovkristiурис
sabovkristiурис
19.04.2021
Вероятно, в задаче идет речь о построении перпендикуляра к прямой, проходящего через данную точку на прямой, с циркуля и линейки.

Дано: прямая а, точка А, принадлежащая прямой.

1) Проведем окружность произвольного  радиуса с центром в точке А. Точки пересечения окружности с прямой а обозначим В и С.
2) Проведем две окружности одинакового произвольного радиуса (большего половины отрезка ВС), с центрами в точках В и С.
3) Через точки пересечения этих окружностей (К и Н) проведем прямую b.
Прямая b - искомый перпендикуляр к прямой а.

Доказательство:
А - середина отрезка ВС по построению (АВ = АС как радиусы одной окружности). Тогда КА - медиана треугольника ВКС.
Треугольник ВКС равнобедренный, так как ВК = СК как равные радиусы. Значит медиана КА является и высотой, т.е. КА⊥а.
4,7(3 оценок)
Это интересно:
Новые ответы от MOGZ: Геометрия
logo
Вход Регистрация
Что ты хочешь узнать?
Спроси Mozg
Открыть лучший ответ