М
Молодежь
К
Компьютеры-и-электроника
Д
Дом-и-сад
С
Стиль-и-уход-за-собой
П
Праздники-и-традиции
Т
Транспорт
П
Путешествия
С
Семейная-жизнь
Ф
Философия-и-религия
Б
Без категории
М
Мир-работы
Х
Хобби-и-рукоделие
И
Искусство-и-развлечения
В
Взаимоотношения
З
Здоровье
К
Кулинария-и-гостеприимство
Ф
Финансы-и-бизнес
П
Питомцы-и-животные
О
Образование
О
Образование-и-коммуникации
1Sn1KeRS11
1Sn1KeRS11
30.09.2020 03:55 •  Геометрия

Знайдіть радіуси вписаного і описаного кола навколо трикутника 7'24'25

👇
Ответ:
linochka1083
linochka1083
30.09.2020
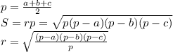
Проще всего по формуле Герона
p=\frac {a+b+c}{2}\\
S = rp = \sqrt{p(p-a)(p-b)(p-c)}\\
r = \sqrt{\frac {(p-a)(p-b)(p-c)}{p}}



p = (7+24+25)/2 = 56/2 = 28
r = √(21*4*3/28) =  √(3*3) = 3
4,7(42 оценок)
Открыть все ответы
Ответ:
ммм298
ммм298
30.09.2020

1.

М - середина АВ, значит МВ = АВ/2

Р - середина МВ, значит РВ = МВ/2 = АВ/4

К - середина ВС, значит КС = ВС/2

Е - середина КС, значит ЕС = КС/2 = ВС/4

N - середина АС, значит NA = АС/2

G - середина NA, значит GA = NA/2 = AC/4

По условию

PB + EC + GA = 12

АВ/4 + ВС/4 + АС/4 = 12

1/4 · (АВ + ВС + АС) = 12

АВ + ВС + АС = 12 · 4 = 48 (см)

2.

Из решения первой задачи следует, что

АР = 3/4 АВ

ВЕ = 3/4 ВС

CG = 3/4 AC

По условию

AP + BE + CG = 108

3/4 АВ + 3/4 ВС + 3/4 АС = 108

3/4 · (АВ + ВС + АС) = 108

АВ + ВС + АС = 108 · 4/3 = 144 (см)

4,6(22 оценок)
Ответ:
Xoroshiyi
Xoroshiyi
30.09.2020

29,6 км/год

Объяснение:

Час шляху дорівнюватиме часу вниз за течією + час вгору за течією. Тобто: 24 / (Vпароплава + 4) +  24 / (Vпароплава - 4) = 2,5 год.

Приводимо до спільного знаменника і отримуємо:

(24(Vпароплава + 4) + 24(Vпароплава - 4)) / (Vпароплава + 4)(Vпароплава - 4) = 2,5

Виносимо 24 за дужки, і перемножуємо праву і ліву частину рівняння за правилом пропорції. У нас виходить квадратне рівняння. Вирішуємо його, і отримуємо два Vпароплава. Одне негативне - ця відповідь не підходить. А друге 29.6 км/год.

Вот и ответ.

4,4(41 оценок)
Новые ответы от MOGZ: Геометрия
logo
Вход Регистрация
Что ты хочешь узнать?
Спроси Mozg
Открыть лучший ответ