М
Молодежь
К
Компьютеры-и-электроника
Д
Дом-и-сад
С
Стиль-и-уход-за-собой
П
Праздники-и-традиции
Т
Транспорт
П
Путешествия
С
Семейная-жизнь
Ф
Философия-и-религия
Б
Без категории
М
Мир-работы
Х
Хобби-и-рукоделие
И
Искусство-и-развлечения
В
Взаимоотношения
З
Здоровье
К
Кулинария-и-гостеприимство
Ф
Финансы-и-бизнес
П
Питомцы-и-животные
О
Образование
О
Образование-и-коммуникации
nastuxxxxa13
nastuxxxxa13
17.07.2021 16:00 •  Геометрия

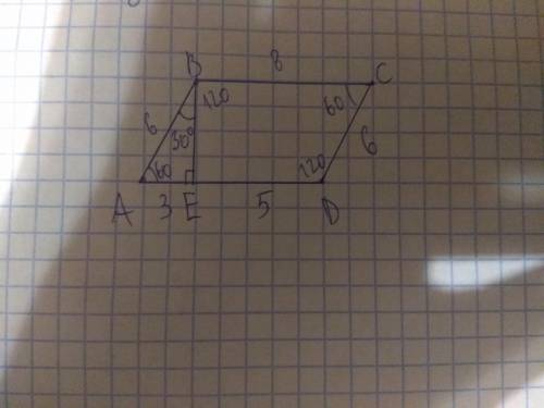
Найдите стороны и углы параллелограмма ,если перпендикуляр проведенный из вершины к противоположной стороне делит ее на отрезки 3 см и 5 см.,а угол образованный другой стороной и перпенликуляром равен 30°.​

👇
Ответ:

ответ:.

Объяснение: треугольник AEB прямоугольный, а по теореме катет против угла в 30 градусов равен половине гипотенузы значит AB=2AE=6=CD

BC=AD=3+5=8

Угол A равен 60 градусов равен C, значит уголB=углуD=120 градусов


Найдите стороны и углы параллелограмма ,если перпендикуляр проведенный из вершины к противоположной
4,7(7 оценок)
Открыть все ответы
Ответ:
cawa1303
cawa1303
17.07.2021

6) Хорды AB и CD пересекаются в точке E, тогда верно равенство

АE·BE=CE·DE

7) Длину окружности можно вычислить по двум формулам: C = 2πr или C = πd, где π – число «пи» (математическая константа, приблизительно равная 3,14) X Источник информации , r – радиус окружности, d – диаметр окружности.

8) Формула для вычисления площади круга

1) Площадь круга равна произведению квадрата радиуса на число пи (3.1415). 2) Площадь круга равна половине произведения длины ограничивающей его окружности на радиус.

9)Окружность называется вписанной в треугольник, если она касается всех его сторон. Окружность называется описанной около треугольника, если она проходит через все его вершины. Теорема 1. Центр окружности, вписанной в треугольник, является точкой пересечения его биссектрис.

4,6(97 оценок)
Ответ:
Ananasikbeauti
Ananasikbeauti
17.07.2021

6) Хорды AB и CD пересекаются в точке E, тогда верно равенство

АE·BE=CE·DE

7) Длину окружности можно вычислить по двум формулам: C = 2πr или C = πd, где π – число «пи» (математическая константа, приблизительно равная 3,14) X Источник информации , r – радиус окружности, d – диаметр окружности.

8) Формула для вычисления площади круга

1) Площадь круга равна произведению квадрата радиуса на число пи (3.1415). 2) Площадь круга равна половине произведения длины ограничивающей его окружности на радиус.

9)Окружность называется вписанной в треугольник, если она касается всех его сторон. Окружность называется описанной около треугольника, если она проходит через все его вершины. Теорема 1. Центр окружности, вписанной в треугольник, является точкой пересечения его биссектрис.

4,8(90 оценок)
Новые ответы от MOGZ: Геометрия
logo
Вход Регистрация
Что ты хочешь узнать?
Спроси Mozg
Открыть лучший ответ