М
Молодежь
К
Компьютеры-и-электроника
Д
Дом-и-сад
С
Стиль-и-уход-за-собой
П
Праздники-и-традиции
Т
Транспорт
П
Путешествия
С
Семейная-жизнь
Ф
Философия-и-религия
Б
Без категории
М
Мир-работы
Х
Хобби-и-рукоделие
И
Искусство-и-развлечения
В
Взаимоотношения
З
Здоровье
К
Кулинария-и-гостеприимство
Ф
Финансы-и-бизнес
П
Питомцы-и-животные
О
Образование
О
Образование-и-коммуникации
anyacotick
anyacotick
27.01.2023 06:21 •  Геометрия

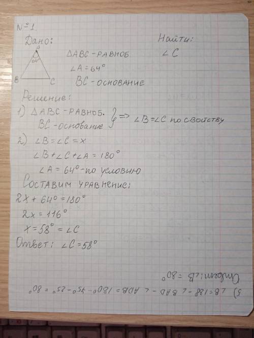
Вравнобедренном треугольнике abc,
сторона bc - основание.
найдите угол c, если известно, что

a = 64
0
.
в равнобедренном треугольнике abc,
сторона bc - основание.
найдите угол b, если известно, что

a = 60
0
.
в треугольнике abc:

a = 75
0
,

c = 31
0
,
найдите угол b.

в равнобедренном треугольнике abc с основанием ac отрезок be-высота.
найдите

ebc, если ac=12 см и

abc=36

в равнобедренном треугольнике abc, с основанием ac проведена биссектриса ad.
найдите угол b, если

adc = 102
0
.

👇
Ответ:
marija01021
marija01021
27.01.2023

В первом угол С = 58 градусов

Во втором угол В = 60 градусов

В третьем угол В =  74 градуса

В четвёртом угол ЕВС = 18 градусов

В пятом угол В = 80 градусов

Решения во вложениях


Вравнобедренном треугольнике abc, сторона bc - основание. найдите угол c, если известно, что ∠ a =
Вравнобедренном треугольнике abc, сторона bc - основание. найдите угол c, если известно, что ∠ a =
Вравнобедренном треугольнике abc, сторона bc - основание. найдите угол c, если известно, что ∠ a =
Вравнобедренном треугольнике abc, сторона bc - основание. найдите угол c, если известно, что ∠ a =
Вравнобедренном треугольнике abc, сторона bc - основание. найдите угол c, если известно, что ∠ a =
4,8(61 оценок)
Открыть все ответы
Ответ:
Arinaiv1
Arinaiv1
27.01.2023
1рассмотрим треугольник aoc и треугольник bod: угол aoc =  bod  (как вертикальные) ao=ob и co=od  (по условию,т.к. точка является o - посередине) значит, треугольник aoc =  равен треугольнику bod  (по двум сторонам и углу между ними) значит угол dao =  равен углу   cbo(в равных треугольниках против равных сторон лежат равные углы) 2 рассмотрим треугольник abd и треугольник adc: по условию,  угол bda   = углу adc сторона ad  -  общая  и по условию угол bad  =  углу dac  (т.к. ad -  биссектриса) значит,  треугольник abd = треугольнику adc(по двум углам и стороне между ними) значит сторона ab=ac(т.к. в равных треугольниках против равных углов лежат равны стороны)
4,4(20 оценок)
Ответ:
Irina5600
Irina5600
27.01.2023
1 стор.-х
2 стор- 5х
периметр  (х+5х)*2=180
                    6х*2=180
                      6х=180:2
                      6х=90
                      х=90:6
                      х=15  см  это 1 сторона             15*5=75 см это 2 сторона

раз разность двух сторон равна 15 см,значит 1 сторона на 15 см больше,чем 2 сторона
2 стор.-х
1 стор.-х+15
периметр  ( х+х+15)*2=150
                    2х+15=150:2
                     2х+15=75
                      2х=75-15
                      2х=60
                      х=60:2
                        х=30   см  это 2 сторона            30+15=45 см это 1 сторона
4,6(54 оценок)
Это интересно:
Новые ответы от MOGZ: Геометрия
Полный доступ к MOGZ
Живи умнее Безлимитный доступ к MOGZ Оформи подписку
logo
Вход Регистрация
Что ты хочешь узнать?
Спроси Mozg
Открыть лучший ответ