М
Молодежь
К
Компьютеры-и-электроника
Д
Дом-и-сад
С
Стиль-и-уход-за-собой
П
Праздники-и-традиции
Т
Транспорт
П
Путешествия
С
Семейная-жизнь
Ф
Философия-и-религия
Б
Без категории
М
Мир-работы
Х
Хобби-и-рукоделие
И
Искусство-и-развлечения
В
Взаимоотношения
З
Здоровье
К
Кулинария-и-гостеприимство
Ф
Финансы-и-бизнес
П
Питомцы-и-животные
О
Образование
О
Образование-и-коммуникации
ashueva1919
ashueva1919
17.04.2020 20:37 •  Химия

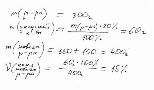
К300 г 20%-ного раствора уксусной кислоты добавили 100г воды. определите концентрации раствора

👇
Ответ:
shakenovdarhan
shakenovdarhan
17.04.2020

15 %

Объяснение:


К300 г 20%-ного раствора уксусной кислоты добавили 100г воды. определите концентрации раствора
4,7(72 оценок)
Открыть все ответы
Ответ:
gpatimat
gpatimat
17.04.2020

Обычно в биографии известных людей детские годы описывают вскользь, упоминают какие-то забавные или трагические случаи, повлиявшие на формирование характера. Но в случае с Моцартом рассказ о его детских годах – это повествование о концертной и композиторской деятельности полноценного музыканта и виртуозного исполнителя, автора инструментальных сочинений.

 

Он родился 27 января 1756 года в семье скрипача и педагога Леопольда Моцарта. Отец оказал огромное влияние на становление сына как личности и музыканта. Всю жизнь их связывала нежнейшая привязанность, даже известна фраза Вольфганга: «После папы – только Господь». Вольфганг и его старшая сестра Мария Анна, которую дома звали Наннерль, никогда не посещали общественную школу, все образование, включая не только музыку, но и счет, письмо, чтение, им дал отец. Он был прирожденным педагогом, его методическое пособие по обучению игре на скрипке издавали десятки раз и долгое время считали лучшим.

С рождения маленького Вольфганга окружала атмосфера творчества, музыкальных звуков и постоянной занятости. Отец занимался с Наннерль на клавесине и скрипке, 3-летний Вольфи наблюдал за ними с ревностью и восторгом: ну, когда же папа позволит ему упражняться? Для него это все была игра – подбирать на слух мелодии, созвучия. Так, играя, и начались его занятия музыкой, которым он отдавался полностью.

 

Согласно биографии Моцарта уже в 4 года он рисует каракули на нотной бумаге, чем приводит в ярость отца, однако гнев быстро сменяется изумлением – выглядящие хаотично на бумаге ноты складываются в незатейливую, но грамотную с точки зрения гармонии пьесу. Леопольд сразу понимает высочайшую одаренность, которой наградил бог его сына.

В те времена музыкант мог рассчитывать на вполне хорошую жизнь, если найдет покровителя и получит постоянную работу. Например, заняв должность капельмейстера при дворе или доме знатного вельможи. Тогда музыка являлась неотъемлемой частью социальной и светской жизни. И Леопольд принимает решение отправиться с выступлениями по городам Европы с целью снискать славу сыну для того, чтобы позднее он смог удостоиться лучшей судьбы. Он рассчитывал уже сейчас заручиться вниманием к необычайному таланту ребенка.

 

 

В первое путешествие Моцарты (отец, сын и дочь) отправились в начале 1762 года, когда Вольфгангу было 6 лет, а его сестре – 10. Чудо-дети везде встречали самый восторженный прием, они поражали слушателей своими исполнительскими умениями и навыками. Отец стремился придать их выступлениям как можно больше эффектности. Мария Анна исполняла сложнейшие технически музыкальные пьесы, подвластные не каждому опытному клавесинисту. Вольфганг и вовсе играл не виртуозно – ему завязывали глаза, покрывали клавиатуру платком, он играл с листа, импровизировал. Все силы были брошены на то, чтобы произвести сенсацию и запасть в память слушателям. И их действительно приглашали много и часто. В основном это были дома аристократов и даже коронованных особ.

Но был в этом еще один интересный момент. Во время всех этих путешествий от Лондона до Неаполя Вольфганг не только демонстрировал публике свое щедрое дарование – он также впитывал в себя все культурные и музыкальные достижения, которые мог ему предоставить тот или иной город. Тогда Европа была разрознена, очаги культуры вспыхивали в разных городах – и в каждом были свои течения, музыкальные стили, жанры, предпочтения. Маленький Вольфганг мог все это слушать, поглощать, перерабатывать своим гениальным умом. И в итоге синтез всех этих музыкальных пластов дал толчок к тому мощному движению, что являло собой творчество Моцарта.

4,6(23 оценок)
Ответ:
kkkkiiiii
kkkkiiiii
17.04.2020

Флюс (лат. Fluxus — поток, течение) — вещества (чаще смесь) органического и неорганического происхождения, предназначенные для удаления оксидов с паяемых поверхностей, снижения поверхностного натяжения...

2, Мед.Острое гнойное воспаление десны или надкостницы, вызванное болезнью зуба и сопровождающееся отеком мягких тканей лица.

Объяснение:

в химии : Как вы понимаете, в доменном производстве нет сварочного процесса, поэтому здесь флюсы играют несколько другую роль. С их можно добиться снижения температуры плавления руды и придать расплавленной массе необходимые физико-химические свойства. Кроме того, флюсы в процессе плавки очищают чугун от излишнего количества серы и стабилизируют работу доменной печи.

4,6(77 оценок)
Это интересно:
Новые ответы от MOGZ: Химия
logo
Вход Регистрация
Что ты хочешь узнать?
Спроси Mozg
Открыть лучший ответ