М
Молодежь
К
Компьютеры-и-электроника
Д
Дом-и-сад
С
Стиль-и-уход-за-собой
П
Праздники-и-традиции
Т
Транспорт
П
Путешествия
С
Семейная-жизнь
Ф
Философия-и-религия
Б
Без категории
М
Мир-работы
Х
Хобби-и-рукоделие
И
Искусство-и-развлечения
В
Взаимоотношения
З
Здоровье
К
Кулинария-и-гостеприимство
Ф
Финансы-и-бизнес
П
Питомцы-и-животные
О
Образование
О
Образование-и-коммуникации
рф777
рф777
10.02.2023 22:38 •  Химия

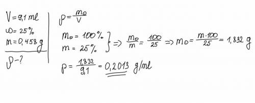
9. 1 мл 25% раствора содержит 0,458 г растворенного вещества. Какова плотность этого раствора?

👇
Ответ:
markay
markay
10.02.2023

По формуле плотность равняется отношению массы раствора к его объему. Объем есть, нужно найти массу раствора. Её мы узнаем из того, что масса вещества в растворе является 0,459 грамма и 25%, соответственно масса раствора 100%. Из формулы отношения находим массу раствора и вставляем ее в формулу плотности

Объяснение:


9. 1 мл 25% раствора содержит 0,458 г растворенного вещества. Какова плотность этого раствора?
4,8(72 оценок)
Открыть все ответы
Ответ:
lari133
lari133
10.02.2023

1.Название

2.Химический знак, относительная атомная масса (Ar)

3.Порядковый номер

4.Номер периода (большой 4-7 или малый 1-3)

5.Номер группы, подгруппа (главная «А» или побочная «Б»)

6.Состав атома: число электронов, число протонов, число нейтронов

Подсказка!

Число электронов = числу протонов = порядковому номеру;

Число нейтронов = атомная масса (Ar из таблицы Менделеева) – число протонов.

7. Вид элемента (s, p, d, f)

Подсказка!

s-элементы: это первые два элемента в 1-7 периодах;

p-элементы: последние шесть элементов1-6 периодов;

d-элементы: это элементы больших периодов (по 10 штук) между s- и p-элементами;

f-элементы: это элементы 6 и 7 периодов – лантаноиды и актиноиды, они вынесены вниз таблицы.

8.Схема строения атома (распределение электронов по энергоуровням), завершённость внешнего уровня.

Подсказка! Внешний уровень завершён у элементов VIII группы главной подгруппы "А" - Ne, Ar, Kr, Xe, Rn.

Подсказка! Для написания схемы нужно знать следующее:

Заряд ядра атома = порядковому номеру атома;

Число энергетических уровней определяют по номеру периода, в котором находится элемент;

У s- и p-элементов на последнем (внешнем) от ядра энергетическом уровне число электронов равно номеру группы, в которой находится элемент.

Например, Na+11)2)8)1=номеру группы;

У d- элементов на последнем уровне число электронов всегда равно 2 (исключения – хром, медь, серебро, золото и некоторые другие на последнем уровне содержат 1 электрон).

Например, Ti+22)2)8)10)2 ; Cr++24)2)8)13)1 – исключение

Максимальное возможное число электронов на уровнях определяют по формуле Nэлектронов = 2n2, где n – номер энергоуровня.

Например, I уровень – 2 электрона, II – 8 электронов, III – 18 электронов, IV– 32 электрона и т.д.

9.Электронная и электронно-графическая формулы строения атома

Подсказка!

Для написания электронной формулы используйте шкалу энергий:

1s<2s<2p<3s<3p<4s<3d<4p<5s<4d<5p<6s<4f<5d<6p<7s…

Помните! На s – орбитали максимум может быть 2 электрона, на p – 6, на d – 10, на f – 14 электронов.

Например, +11Na 1s22s22p63s1; +22Ti 1s22s22p63s23p64s23d2

10.Металл или неметалл

Подсказка!

К неметаллам относятся: 2 s-элемента - водород и гелий и 20 p-элементов – бор, углерод, азот, кислород, фтор, неон, кремний, фосфор, сера, хлор, аргон, мышьяк, селен, бром, криптон, теллур, йод, ксенон, астат и радон.

К металлам относятся: все d- и f-элементы, все s-элементы (исключения водород и гелий), некоторые p-элементы.

11.Высший оксид (только для s, p)

Подсказка!

Общая формула высшего оксида дана под группой химических элементов (R2O, RO и т.д.)

12.Летучее водородное соединение (только для s, p)

Подсказка!

Общая формула летучего водородного соединения дана под группой химических элементов (RH4, RH3 и т.д.) – только для элементов 4 -8 групп.

4,8(19 оценок)
Ответ:
yesayes
yesayes
10.02.2023
Дано:
m(Na)=2,3г.
Vm=22,4л./моль

V(H₂)-?
1. Определим молярную массу натрия и его количество вещества n в 2,3г.:
M(Na)=23г./моль
n(Na)=m(Na)÷M(Na)= 2,3г.÷22,4л./моль=0,1моль
2. Запишем уравнение реакции:
2C₂H₅OH + 2Na= 2C₂H₅ONa + H₂
3. Анализируем уравнение реакции: по уравнению реакции из 2 моль натрия образуется 1моль водорода, по условию задачи  из 0,1моль натрия значит образуется в два раза меньше водорода. n(H₂)=0.1÷2=0.05моль
4. Определяем объем водорода количеством вещества 0,05моль водорода:
V(H₂) =n(H₂)×Vm=0,05моль×22,4л./моль=1,12л.
5. ответ: при взаимодействии 2,3г. натрия с этанолом образуется 1,12л. водорода.
4,6(82 оценок)
Новые ответы от MOGZ: Химия
logo
Вход Регистрация
Что ты хочешь узнать?
Спроси Mozg
Открыть лучший ответ