М
Молодежь
К
Компьютеры-и-электроника
Д
Дом-и-сад
С
Стиль-и-уход-за-собой
П
Праздники-и-традиции
Т
Транспорт
П
Путешествия
С
Семейная-жизнь
Ф
Философия-и-религия
Б
Без категории
М
Мир-работы
Х
Хобби-и-рукоделие
И
Искусство-и-развлечения
В
Взаимоотношения
З
Здоровье
К
Кулинария-и-гостеприимство
Ф
Финансы-и-бизнес
П
Питомцы-и-животные
О
Образование
О
Образование-и-коммуникации
grishaeva79
grishaeva79
01.01.2022 00:19 •  Химия

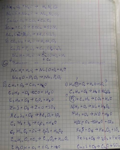
Расставьте коэффициенты, преобразовав схемы в уравнения реакций. а) N2O5+H2O -- HNO3
N2O5+Na2O -- NaNO3
CaO+C -- CO+CaC2
Cl2+CS2 -- CCl4+S2Cl2
Al2O3+SO3 -- Al2(S04)3
б) Cl2O7+H2O -- HCLO4
CaO+P2O5 -- Ca3(PO4)2
NaH+H2O -- Ca(OH)2+H2
Na2O+P2O5 -- Na3PO4

в) CH4+O2 -- CO2+H2O
C2H6+O2 -- CO2+H2O
C3H8+O2 -- CO2+H2O
ZnS+O2 -- ZnO+SO2
Al2S3+O2 -- Al2O3+SO2
C6H6+O2 -- CO2+H2O
C6H12O6+O2 -- CO2+H2O
C12H22O11+O2 -- CO2+H2O
CH3OH+O2 -- CO2+H2O

г) H2SS+O2 -- H2O+SO2
C2H4+O2 -- H2O+CO2
P2+C2H2 -- CO2+H2O
NH3+O2 -- N2+H2O
NH3+O2 -- NO+H2O
HCl+O2 -- H2O+CL2
FeS+O2 -- Fe2O3+SO2
FeS2+O2 -- SO2+FeO3
Cu2S+O2 -- CuO+SO2

ВСЕ ЧИСЛА ЭТО КОЭФФИЦИЕНТЫ.

👇
Ответ:
BratiSHkaXD
BratiSHkaXD
01.01.2022

В некотырах реакциях не правильные уравнение,элементы прополают либо появлябсся из ниоткуда реакция всегда должен быт балансированнтй


Расставьте коэффициенты, преобразовав схемы в уравнения реакций. а) N2O5+H2O -- HNO3 N2O5+Na2O -- Na
4,4(3 оценок)
Открыть все ответы
Ответ:
aminka0095
aminka0095
01.01.2022
NaOH pH>7 среда щелочная, оно и понятно - это чистая щелочь. Здесь высокая концентрация гидроксид-ионов.
NaCl pH=7 нейтральная, так как соль образована катионом сильного основания и анионом сильной кислоты, гидролизу этот раствор не подвергается.
HCl pH<7 среда кислая, ведь это же кислота. Кислую среду даст нам высокая концентрация ионов водорода.
ZnCl2 pH<7 среда кислая, так как соль образована катионом слабого основания и анионом сильной кислоты, в результате гидролиза появятся ионы водорода, они и дадут кислую среду. А щелочную дают гидроксид-ионы.
Na2SiO3 среда щелочная pH>7 так как соль образована катионом сильного основания и анионом слабой кислоты, в результате гидролиза появятся гидроксид-ионы.
Значение водородного показателя зависит от соотношения тонов водорода и гидроксид-ионов
4,6(94 оценок)
Ответ:
YaShKa111111
YaShKa111111
01.01.2022
2С6H6 + 15O2 = 12CO2 + 6H2O бензол C8H8 + 10O2 = 8CO2 + 4H2O стирол nCH2=CH-C6H5 = (-CH2-CH-)n | C6H5 полистирол w(вых.прод.)=m(теор)/m(практ)х100% m(теор.)=16,64/0,8=20,8 г - масса стирола M(стирола)=104 г/моль n(стирола)=20,8/104=0,2 моль n(стирола):n(СO2)=1:8, отсюда n(CO2)=0,2х8=1,6 моль Vm=22,4 л/моль V1(CO2)=22,4х1,6=35,84 л - выделяется при сжигании стирола V2(CO2)=89,6-35,84=53,76 л - выделяется при сжигании бензола n2(CO2)=53.76/22,4=2,4 моль - при сжигании бензола n(C6H6):n(CO2)=2:12, отсюда n(C6H6)=2,4х2/12=0,4 моль M(C6H6)=78 г/моль m(C6H6)=0,4х78=31,2 г m(смеси)=31,2+20,8=52 г w(С6H6)=31,2/52х100%=60 % w(стирола)=100-60=40%
4,7(24 оценок)
Новые ответы от MOGZ: Химия
logo
Вход Регистрация
Что ты хочешь узнать?
Спроси Mozg
Открыть лучший ответ