М
Молодежь
К
Компьютеры-и-электроника
Д
Дом-и-сад
С
Стиль-и-уход-за-собой
П
Праздники-и-традиции
Т
Транспорт
П
Путешествия
С
Семейная-жизнь
Ф
Философия-и-религия
Б
Без категории
М
Мир-работы
Х
Хобби-и-рукоделие
И
Искусство-и-развлечения
В
Взаимоотношения
З
Здоровье
К
Кулинария-и-гостеприимство
Ф
Финансы-и-бизнес
П
Питомцы-и-животные
О
Образование
О
Образование-и-коммуникации
диментор
диментор
21.03.2022 14:15 •  Химия

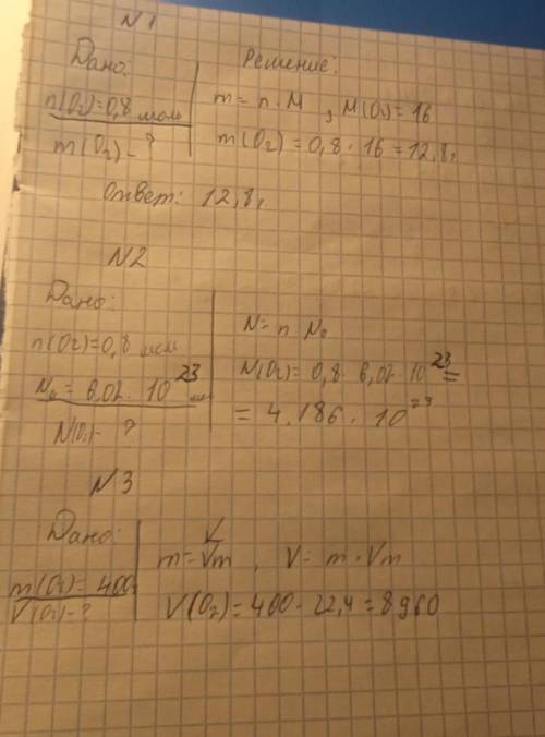
очень решать с оформлением. Заранее благодарна за Задача 1.
Найдите массу 0, 8 моль кислорода.
Задача 2.
Сколько молекул содержит 0,8 моль кислорода.
Задача 3.
Какой объем занимает 400 г кислорода.

👇
Ответ:
Varvara2001
Varvara2001
21.03.2022

прикреплён рисунок.......


очень решать с оформлением. Заранее благодарна за Задача 1. Найдите массу 0, 8 моль кислорода. Задач
4,7(39 оценок)
Открыть все ответы
Ответ:
Kakazabra
Kakazabra
21.03.2022
Впервые каучук в Европу привез Колумб. Именно его корабль, пристав к острову Эспаньола в 1493 году, увез в Испанию первое изделие из каучука. Это был эластичный прыгучий мяч, который местные жители делали из сока гевеи – растения, встречающегося на берегах Амазонки.
Эластомерами называют полимерные материалы к обратимым высокоэластическим деформациям в широком интервале температур. Каучуки – натуральный и синтетические – основа подавляющего большинства эластомеров, высокомолекулярные соединения со своеобразным комплексом свойств.
Исходным сырьем в получении каучуков является сырая нефть, которую разделяют на фракции и далее уже используют в синтезе необходимых мономеров. Мономеры используют для производства синтетических каучуков различными методами полимеризации.
Области применения каучуков:
1.    Производство резин для автомобильных, авиационных и велосипедных шин.
2.    Изготовление специальных резин огромного разнообразия уплотнений для целей тепло- звуко- воздухо- гидроизоляции разъёмных элементов зданий, в санитарной и вентиляционной технике, в гидравлической, пневматической и вакуумной технике.
3.    Применение в электроизоляции, для производства медицинских приборов и средств контрацепции.
4.    Применение в обувной промышленности для изготовления надежной подошвы для различных видов обуви, которая может обладать антискользящими свойствами, высокой прочностью и гибкостью.
5.    В ракетной технике синтетические каучуки используются в качестве полимерной основы при изготовлении твердого ракетного топлива, в котором они играют роль горючего.
4,4(57 оценок)
Ответ:
Dan1yar2255
Dan1yar2255
21.03.2022
Аллотропия — свойство химического элемента образовывать РАЗНЫЕ простые вещества. Эти вещества состоят из атомов одного элемента, но их молекулы (или кристаллические решётки) различаются.
Наиболее известные примеры: элемент кислород может существовать в виде газа кислорода О₂ и газа озона О₃. Элемент углерод может существовать как алмаз и как графит, элемент сера может существовать как ромбическая и моноклинная сера. Элемент фосфор может существовать как белый и красный фосфор. Аллотропные модификации одного элемента могут при определённых условиях переходить одна в другую.
4,5(52 оценок)
Это интересно:
Новые ответы от MOGZ: Химия
logo
Вход Регистрация
Что ты хочешь узнать?
Спроси Mozg
Открыть лучший ответ