М
Молодежь
К
Компьютеры-и-электроника
Д
Дом-и-сад
С
Стиль-и-уход-за-собой
П
Праздники-и-традиции
Т
Транспорт
П
Путешествия
С
Семейная-жизнь
Ф
Философия-и-религия
Б
Без категории
М
Мир-работы
Х
Хобби-и-рукоделие
И
Искусство-и-развлечения
В
Взаимоотношения
З
Здоровье
К
Кулинария-и-гостеприимство
Ф
Финансы-и-бизнес
П
Питомцы-и-животные
О
Образование
О
Образование-и-коммуникации
timkalo
timkalo
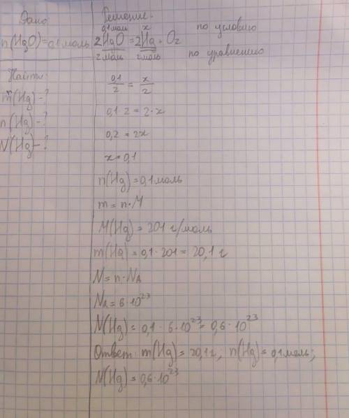
02.03.2022 10:49 •  Химия

нужно отправить работу до 15 часов по мск

8 класс, химия.


нужно отправить работу до 15 часов по мск8 класс, химия.

👇
Ответ:
School30zh
School30zh
02.03.2022

На фотографии (:

Объяснение:


нужно отправить работу до 15 часов по мск8 класс, химия.
4,6(72 оценок)
Открыть все ответы
Ответ:
CrazyMashin
CrazyMashin
02.03.2022
Химическая связь — это взаимодействие частиц (атомов, ионов), осуществляемое путем обмена электронами. Различают несколько видов связи. При ответе на данный вопрос следует подробно остановиться на характеристике ковалентной и ионной связи. Ковалентная связь образуется в результате обобществления электронов (с образованием общих электронных пар), которое происходит в ходе перекрывания электронных облаков. В образовании ковалентной связи участвуют электронные облака двух атомов. Различают две основные разновидности ковалентной связи: а) неполярную и б) полярную. а) Ковалентная неполярная связь образуется между атомами неметалла одного и того лее химического элемента. Такую связь имеют простые вещества, например О2; N2; C12. Можно привести схему образования молекулы водорода: 2004 (на схеме электроны обозначены точками). б) Ковалентная полярная связь образуется между атомами различных неметаллов. Схематично образование ковалентной полярной связи в молекуле НС1 можно изобразить так: 2004 Общая электронная плотность оказывается смещенной в сторону хлора, в результате чего на атоме хлора возникает частичный отрицательный заряд 2004 , а на атоме водорода — частичный положительный 2004 . Таким образом, молекула становится полярной: 2004 Ионной называется связь между ионами, т. е. заряженными частицами, образовавшимися из атома или группы атомов в результате присоединения или отдачи электронов Ионная связь характерна для солей и щелочей. Сущность ионной связи лучше рассмотреть на примере образования хлорида натрия. Натрий, как щелочной металл, склонен отдавать электрон, находящийся на внешнем электронном слое. Хлор же, наоборот, стремится присоединить к себе один электрон. В результате натрий отдает свой электрон хлору. В итоге образуются противоположно заряженные частицы — ионы Na+ и Сl-, которые притягиваются друг к другу. При ответе следует обратить внимание, что вещества, состоящие из ионов, образованы типичными металлами и неметаллами. Они представляют собой ионные кристаллические вещества, т. е. вещества, кристаллы которых образованы ионами, а не молекулами. После рассмотрения каждого вида связи следует перейти к их сравнительной характеристике. Для ковалентной неполярной, полярной и ионной связи общим является участие в образовании связи внешних электронов, которые еще называют валентными. Различие же состоит в том, насколько электроны, участвующие в образовании связи, становятся общими. Если эти электроны в одинаковой мере принадлежат обоим атомам, то связь ковалент-ная неполярная; если эти электроны смещены к одному атому больше, чем другому, то связь ковалент-ная полярная. В случае, если электроны, участвую щие в образовании связи, принадлежат одному атому, то связь ионная. Металлическая связь — связь между ион-атомами в кристаллической решетке металлов и сплавах, осуществляемая за счет притяжения свободно перемещающихся (по кристаллу) электронов (Mg, Fe). Все вышеперечисленные отличия в механизме образования связи объясняют различие в свойствах веществ с разными видами связей.
4,4(86 оценок)
Ответ:
БЕРЕНА
БЕРЕНА
02.03.2022

   15 г                                                                                  Х л

    Mg           +        2CH3COOH     =      (CH3COO)2Mg + H2

n = 1 моль                                                                          n = 1 моль

Mr = 24 г/моль                                                                 Vm = 22,4 л/моль

m = 24 г                                                                            V = 22,4 л

15 г Mg     -    Х л Н2

24 г Mg     -    22,4 л Н2

V(H2) = 15 * 22,4 / 24 =14 л

4,7(39 оценок)
Это интересно:
Новые ответы от MOGZ: Химия
logo
Вход Регистрация
Что ты хочешь узнать?
Спроси Mozg
Открыть лучший ответ