М
Молодежь
К
Компьютеры-и-электроника
Д
Дом-и-сад
С
Стиль-и-уход-за-собой
П
Праздники-и-традиции
Т
Транспорт
П
Путешествия
С
Семейная-жизнь
Ф
Философия-и-религия
Б
Без категории
М
Мир-работы
Х
Хобби-и-рукоделие
И
Искусство-и-развлечения
В
Взаимоотношения
З
Здоровье
К
Кулинария-и-гостеприимство
Ф
Финансы-и-бизнес
П
Питомцы-и-животные
О
Образование
О
Образование-и-коммуникации
Magster
Magster
01.04.2021 00:36 •  Химия

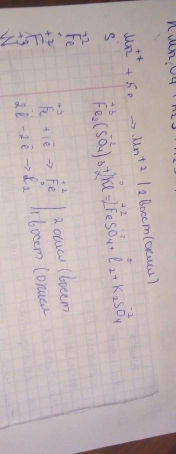
Fe2(SO4)3+KI=FeSO4+I2+K2SO4 используя метод электронного баланса, составьте уравнение реакции по схеме: Определите окислитель и восстановитель.

дам 10 или

👇
Ответ:
Зорро2017
Зорро2017
01.04.2021

на фото....................


Fe2(SO4)3+KI=FeSO4+I2+K2SO4 используя метод электронного баланса, составьте уравнение реакции по схе
4,5(30 оценок)
Открыть все ответы
Ответ:
Kira0710
Kira0710
01.04.2021

Спиртами называют производные углеводородов, содержащие группу (или несколько групп) -ОН, называемую гидроксильной группой или гидроксилом.
По числу гидроксильных групп, содержащихся в молекуле, спирты делятся на одноатомные (с одним гидроксилом), двухатомные (с двумя гидроксилами), трехатомные (с тремя гидроксилами) и многоатомные.

Общая формула одноатомных спиртов R -OH, где R -  углеводородный радикал с соответствующим алканам названию, которое зависит от количества углерода(этон, пропан, бутан + суффикс -ол(CH3OH - метанол; C2H5OH - этанол и т.д).

Как и в других гомологических рядах, каждый член ряда спиртов отличается по составу от предыдущего и от последующего на гомологическую разность (-СН2-) 
В зависимости от того, при каком атоме углерода находится гидроксил, различают первичные, вторичные, и третичные спирты

4,6(83 оценок)
Ответ:
palechov01
palechov01
01.04.2021

Итак, предполагаем, что  1,07 г/мл - это плотность исходного раствора.

1) Находим массу исходного раствора:

m(p-p) = ρ*V = 1,07*200= 214 г

2) Если концентрацию раствора выразить в долях единицы,  то массу растворенного вещества в граммах находят по формуле:

m(в-во) = ω * m(p-p)

где: m(p-p) - масса раствора в граммах, ω - массовая доля растворенного вещества, выраженная в долях единицы.

То есть 90% - это 0,9 в долях единицы, а 50% - это 0,5

3) Обозначим массу прилитой воды через Х граммов. Так как при прибавлении воды масса растворенного вещества не изменяется, а масса раствора увеличивается на Х граммов, то можем записать:

0,9*214 = 0,5*(214 + Х)

192,6 = 107 + 0,5Х

0,5Х = 85,6

Х = 85,6/0,5 = 171,2 г

ответ: 171,2 г воды

4,5(37 оценок)
Это интересно:
Новые ответы от MOGZ: Химия
logo
Вход Регистрация
Что ты хочешь узнать?
Спроси Mozg
Открыть лучший ответ