М
Молодежь
К
Компьютеры-и-электроника
Д
Дом-и-сад
С
Стиль-и-уход-за-собой
П
Праздники-и-традиции
Т
Транспорт
П
Путешествия
С
Семейная-жизнь
Ф
Философия-и-религия
Б
Без категории
М
Мир-работы
Х
Хобби-и-рукоделие
И
Искусство-и-развлечения
В
Взаимоотношения
З
Здоровье
К
Кулинария-и-гостеприимство
Ф
Финансы-и-бизнес
П
Питомцы-и-животные
О
Образование
О
Образование-и-коммуникации
bizi2002
bizi2002
07.05.2021 05:39 •  Химия

Какие из веществ вступают в реакцию с гидроксидом натрия: магний, серная кислота, оксид кальция, оксид углерода (iv), хлорид меди (ii), сульфат калия? составьте молекулярные и ионные уравнения возможных реакций.

👇
Ответ:
stanislavgulya
stanislavgulya
07.05.2021
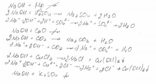
Вот так ..................................
Какие из веществ вступают в реакцию с гидроксидом натрия: магний, серная кислота, оксид кальция, окс
4,7(95 оценок)
Ответ:
Радик174
Радик174
07.05.2021
Вроде ничего не пропустила....
Какие из веществ вступают в реакцию с гидроксидом натрия: магний, серная кислота, оксид кальция, окс
Какие из веществ вступают в реакцию с гидроксидом натрия: магний, серная кислота, оксид кальция, окс
4,6(96 оценок)
Открыть все ответы
Ответ:
KOTE422
KOTE422
07.05.2021
Фосфор обладает большей электроотрицательностью( 2,19), чем кремний( 1,90). Это обусловлено расположением элементов в таблице Менделеева( фосфор стоит левее кремния). Из этого так же следует то, что фосфор более сильный окислитель и неметалл, нежели кремний. По этой причине фосфорные кислоты, например  ортофосфорная кислота(H3PO4), имеют гораздо более выраженные окислительные свойства, в отличии от кремниевой кислоты(H2SiO3), так фосфорная кислота окисляет магний: 2H3PO4 + 3Mg = Mg3(PO4) + 3H2
А кремниевая кислота  нерастворима в воде и не реагирует с большинством металлов.
4,4(77 оценок)
Ответ:
polonnikovdanil
polonnikovdanil
07.05.2021
Количество серы = 16(г)/32(г/моль)=0,5 моль
Тогда по уравнениям реакций получается:
S+O2=SO2  (∨(O2) = ∨(SO2)= 0,5 моль, масса O2 = 0,5(моль)х32(г/моль)=16 г, масса SO2 = 0,5(моль)х64(г/моль)=32 г)
SO2+H2O=H2SO3 (∨(SO2)=∨(H2O)=∨(H2SO3)=0,5 моль, масса H2O=0,5(моль)х18(г/моль)=9 г, масса H2SO3 = 0,5(моль)х82(г/моль)=41 г)
H2SO3+Ba(OH)2=BaSO3↓+2H2O
(∨(H2SO3)=∨(Ba(OH)2)=∨(BaSO3)=0,5 моль; количество воды в 2 раза больше = 1 моль.
масса Ba(OH)2 = 0,5(моль)х171(г/моль)=85,5г
масса BaSO3 = 0,5 (моль)х213(г/моль)=106,5г
масса воды = 1(моль)х18(г/моль)=18 г
4,8(8 оценок)
Новые ответы от MOGZ: Химия
logo
Вход Регистрация
Что ты хочешь узнать?
Спроси Mozg
Открыть лучший ответ