М
Молодежь
К
Компьютеры-и-электроника
Д
Дом-и-сад
С
Стиль-и-уход-за-собой
П
Праздники-и-традиции
Т
Транспорт
П
Путешествия
С
Семейная-жизнь
Ф
Философия-и-религия
Б
Без категории
М
Мир-работы
Х
Хобби-и-рукоделие
И
Искусство-и-развлечения
В
Взаимоотношения
З
Здоровье
К
Кулинария-и-гостеприимство
Ф
Финансы-и-бизнес
П
Питомцы-и-животные
О
Образование
О
Образование-и-коммуникации
nastyasiminyuk
nastyasiminyuk
23.03.2022 01:27 •  Химия

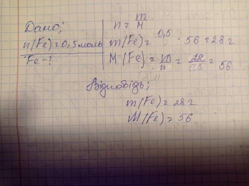
Дано: n(Fe) =0,5 молекул найти:(Fe)? решите вас
ребят

👇
Ответ:
ilay23143p0bp8a
ilay23143p0bp8a
23.03.2022

Відповідь: типа найти масу?

Пояснення:


Дано: n(Fe) =0,5 молекул найти:(Fe)? решите васребят
4,4(58 оценок)
Открыть все ответы
Ответ:
lianagabrielya
lianagabrielya
23.03.2022
Во-первых, это конечно же часть конфорки, которая распределяет голубое топливо, выброшенные инжектором (жиклером) по кругу. Сверху такой рассекатель прикрывается крышкой, представляющей собой металлический диск. Но это не единственное значение слова. Рассекатель для газовой плиты может являться при для ослабления действия пламени. В этом случае он представляет собой двойную круглую жаровенку с множеством мелких отверстий (или даже из мелкоячеистой сетки), которая позволяет осуществлять некоторые кулинарные рецептуры.
4,8(37 оценок)
Ответ:
Сокол111111111
Сокол111111111
23.03.2022
Несмотря на общность основных химических свойств, отдельные металлы довольно сильно отличаются друг от друга своей химической активностью. Металлическая природа элементов проявляется тем ярче, чем слабее связаны валентные электроны с ядром в атомах элементов. Следовательно, наиболее активными являются металлы главных подгрупп I и II групп периодической системы, так называемые щелочные и щелочноземельные металлы. По той же причине среди элементов одной группы металлическая природа ярче выражена у тяжелых и слабее у легких элементов.

    При переходе от легких элементов к более тяжелым внутри каждой данной подгруппы элементов ионизационные потенциалы уменьшаются.
4,6(90 оценок)
Это интересно:
Новые ответы от MOGZ: Химия
logo
Вход Регистрация
Что ты хочешь узнать?
Спроси Mozg
Открыть лучший ответ