Вход
Регистрация
Спроси Mozg AI
М
Молодежь
К
Компьютеры-и-электроника
Д
Дом-и-сад
С
Стиль-и-уход-за-собой
П
Праздники-и-традиции
Т
Транспорт
П
Путешествия
С
Семейная-жизнь
Ф
Философия-и-религия
Б
Без категории
М
Мир-работы
Х
Хобби-и-рукоделие
И
Искусство-и-развлечения
В
Взаимоотношения
З
Здоровье
К
Кулинария-и-гостеприимство
Ф
Финансы-и-бизнес
П
Питомцы-и-животные
О
Образование
О
Образование-и-коммуникации
.....больше.....
..меньше..
ПолумнаПрометей
11.01.2020 02:53 •
Химия
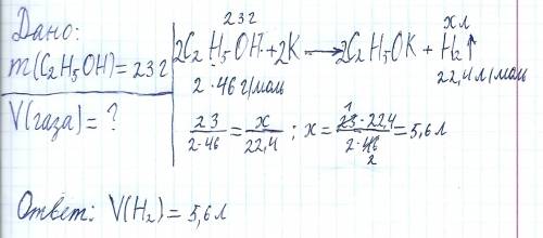
Вычислите объем газа вфделившегося при взаимодействии 23г этанал с калием
👇
Увидеть ответ
Ответ:
1234567891241
11.01.2020
^ ^
///////////////////////////////////
4,8
(15 оценок)
Открыть все ответы
Ответ:
anx2003
11.01.2020
1) 2 al(oh)3+3cl2 = 2alcl3 + 3h202) фосфор легко окисляется кислородом: 4p + 5o2 → 2p2o5 (с избытком кислорода) , 4p + 3o2 → 2p2o3 (при медленном окислении или при недостатке кислорода) . взаимодействует со многими простыми веществами — галогенами, серой, некоторыми металлами, проявляя окислительные и восстановительные свойства: с металлами — окислитель, образует фосфиды: 2p + 3ca → ca3p2, 2p + 3mg → mg3p2. с неметаллами — восстановитель: 2p + 3s → p2s3, 2p + 3cl2 → 2pcl3. не взаимодействует с водородом. взаимодействие с водой взаимодействует с водой, при этом диспропорционирует: 4р + 6н2о → рн3 + 3н3ро2 (фосфатная кислота) . взаимодействие со щелочами в растворах щелочей диспропорционирование происходит в большей степени: 4р + 3koh + 3н2о → рн3 + 3kн2ро2. восстановительные свойства сильные окислители превращают фосфор в фосфорную кислоту: 3p + 5hno3 + 2h2o → 3h3po4 + 5no; 2p + 5h2so4 → 2h3po4 + 5so2 + 2h2o. реакция окисления также происходит при поджигании спичек, в качестве окислителя выступает бертолетова соль: 6p + 5kclo3 → 5kcl + 3p2o5
4,6
(40 оценок)
Ответ:
Muzahabiba
11.01.2020
8) fe2o3+3h2so4 = fe2(so4)3+3h2o ответ: 3 2hcl + na2s = h2s(газ) + 2nacl ответ: 2 2naoh + cucl2 = 2nacl + cu(oh)2(осадок) ответ: 4 9) fecl3 + naoh = nacl + fe(oh)3 (осадок белого цвета) ответ: 1 сucl2 + na2s = 2nacl + cus (осадок чёрного цвета) ответ: 3 feso4 + bacl2 = fecl3 + baso4 (осадок белого цвета) ответ: 1 10) повторяет номер 8 : 4 г х г 2naoh + cuso4 = cu(oh)2 +na2so4 2*40= 80 г/моль 98 г/моль 1) определим m naoh в растворе: 80*0,05= 4 грамма 2) вычисляем массу осадка: 4*98/80=4,9 грамм ответ: масса осадка cu(oh)2 равна 4,9 грамм.
4,8
(67 оценок)
Это интересно:
К
Кулинария-и-гостеприимство
20.03.2022
Секретный ингредиент коктейля «Арнольд Палмер» и его рецепт...
Ф
Финансы-и-бизнес
10.02.2022
Стартуем бизнес по схеме дропшиппинга: советы и рекомендации...
К
Компьютеры-и-электроника
01.06.2022
Как поднять свой боевой уровень в RuneScape: советы и рекомендации...
С
Стиль-и-уход-за-собой
16.07.2020
Пухлые щеки: прекрасный тренд или проблема?...
К
Кулинария-и-гостеприимство
16.05.2023
Как приготовить торт на именины собаки...
М
Мир-работы
01.04.2023
Как стать успешным командным игроком на работе: советы для успеха...
С
Семейная-жизнь
19.04.2021
Как помочь другу, потерявшему близкого человека: советы и рекомендации...
З
Здоровье
04.01.2023
Контроль гнева: как управлять своими эмоциями...
К
Кулинария-и-гостеприимство
02.02.2020
Как сделать красивые и вкусные французские макароны с миндалем...
К
Кулинария-и-гостеприимство
23.06.2020
Как заварить Кунг фу чай - лучший способ насладиться вкусом восточного чая...
Новые ответы от MOGZ: Химия
Polina8472
10.04.2022
30 ! составьте уравнение реакции горения серы ,если известно ,что на 1 моль образованного оксида серы выделяется 1 734 кдж теплоты...
Ctypakelizaveta
10.04.2022
Яка валентність в елементів цих формулах? clo2 mno cro3 sf6 ca3p2 al4c3 caf3 pcl5...
olgaollik
10.04.2022
Определите молярную массу эквивалента металла, если его массовая доля в оксиде составляет 80%....
mgatron
12.03.2023
Из 500 г 15% раствора соли выпарили 75 г воды. определить массовую долю раствоёренного вещества в полученном растворе...
Bonya97
12.03.2023
Масса молекулы воды приблизительно равна 3∙10−23 г. определите относительную молекулярную массу воды...
miratarnovskaya
28.05.2020
Сколько оксида получится, если смешать 8 г водорода и 8 г кислорода? максимально понятно!...
yuliamoisei
02.06.2020
С каким из указанных веществ не взаимодействует Ca: H2O O2 S K2SO4...
allahakbar1062p0a3z0
07.01.2021
На плоское зеркало падает луч света. Определи, чему равен угол падения, если угол между падающим лучом и поверхностью зеркала составляет γ=28°....
Зарема951
01.02.2021
Укажіть молярну масу (г\моль) продукту повного гідролізу цулюлози...
20736
27.02.2023
Встановіть сполуку, яка утворюється при взаємодії метанолу зі гідроген бромідом...
MOGZ ответил
Отношение к самодержавию у меньшивиков...
Если при равномерном прямолинейном движении тело за 5 секунд перемещается...
Верёвка длиной в семь целых четыре пятых метров разрезали на две...
Лошадь за один глоток выпивает 500 см (в кубе) воды. за сколько...
Примеры сушествительных собственных и обозначаюших 5 примеров...
Тело переместилось из точки с координатами х=-2 м, y=3 м в точку...
Скільки молей сульфур 4 оксиду утвориться при взаємодії 3 г сірки...
Однажды я оказался на необитаемом острове...
Как животные при к различным обитания?...
Не ! задали по музыке отзыв о любимой песне. кому нравится де...
Полный доступ к MOGZ
Живи умнее Безлимитный доступ к MOGZ
Оформи подписку
О НАС
О нас
Блог
Условия пользования
Авторское право
Политика конфиденциальности
Предпочтения cookie-файлов
ПОМОЩЬ
Зарегистрируйся
Центр помощи
Центр безопасности
App
Вход
Регистрация
Что ты хочешь узнать?
Спроси Mozg
Открыть лучший ответ
///////////////////////////////////