М
Молодежь
К
Компьютеры-и-электроника
Д
Дом-и-сад
С
Стиль-и-уход-за-собой
П
Праздники-и-традиции
Т
Транспорт
П
Путешествия
С
Семейная-жизнь
Ф
Философия-и-религия
Б
Без категории
М
Мир-работы
Х
Хобби-и-рукоделие
И
Искусство-и-развлечения
В
Взаимоотношения
З
Здоровье
К
Кулинария-и-гостеприимство
Ф
Финансы-и-бизнес
П
Питомцы-и-животные
О
Образование
О
Образование-и-коммуникации
1КрУтАя1
1КрУтАя1
30.12.2021 16:49 •  Химия

Найти массу оксида фосфора (v), образовавшегося при сгорании 6,2 г фосфора

👇
Ответ:

вот это ответ........


Найти массу оксида фосфора (v), образовавшегося при сгорании 6,2 г фосфора
4,7(94 оценок)
Ответ:
ThreeCats
ThreeCats
30.12.2021

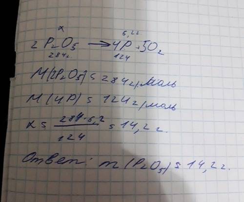
4P + 5O₂ = 2P₂O₅

n(P) = m ÷ M = 6.2 г ÷ 31г\моль = 0.2 моль

n(P) = n(P₂O₅) = 0.2 моль ÷ 2 = 0.1 моль

m(P₂O₅) = n × M  = 0.1 моль × 142 г\моль = 14.2 г

4,8(25 оценок)
Открыть все ответы
Ответ:
artur19912000
artur19912000
30.12.2021

Объяснение:

1.

2H2O = 2H2 + O2

Al + O2 = Al2O3

Al2O3 + 6HCl = 2AlCl3 + 3H2O

2.

M(P) = 31 г/моль

m(P) = 46.5 г

4 P + 5 O2 = 2 P2O5

n P = 46.5/31 = 1.5 моль

На 4 моль фосфора приходится 2 моль оксида фосфора, т.е. в два раза меньше, тогда

n P2O5 = 0.5 n P = 0.75  моль

M(P2O5) = 142  г/моль

m(P2O5) = 142*0.75 = 106,5 г

ответ : 106, 5 г

3.

M(K2SO4)=2*39+32+16*4=174 г/моль

4. Дано:

M(K2SO4)=2*39+32+16*4=174 г/моль

w(K) - ?

w(K)=2*39/174 * 100% = 78/174 * 100% = 44,83 % = 44, 8 %

5. Ряд под номером 2 верный, главный признак оснований - наличие группы ОН-

6.

Ca(OH)2 + 2HNO3=  Ca(NO3)2 + H2O реакция обмена;

Zn + 2 HCL = ZnCl2 + H2(газ, стрелочка вверх) реакция замещения;

H2SO4 = H2O + SO3 реакция разложения.

4,8(3 оценок)
Ответ:
osmo2008
osmo2008
30.12.2021

Для приготовления раствора необходимо произвести расчеты, где надо рассчитать, сколько граммов воды и сколько граммов сахара необходимо взять, чтобы получить раствор заданной концентрации.

Производим расчеты по формуле

омега=(mвещ. /m раств.)*100%, откуда получаем

210*0.05=10.5/г/

210-10.5=199.5/г/

Из расчетов следует, чтодля приготовления 210 г 5%- го раствора сахара надо взять 199.5 г воды и 10.5 г сахара.

Отмеряем мензуркой 199.5 мл воды, добавляем 10.5 г сахара. Перемешиваем стеклянной палочкой.

Раствор заданной концентрации получен.

4,5(33 оценок)
Новые ответы от MOGZ: Химия
logo
Вход Регистрация
Что ты хочешь узнать?
Спроси Mozg
Открыть лучший ответ