М
Молодежь
К
Компьютеры-и-электроника
Д
Дом-и-сад
С
Стиль-и-уход-за-собой
П
Праздники-и-традиции
Т
Транспорт
П
Путешествия
С
Семейная-жизнь
Ф
Философия-и-религия
Б
Без категории
М
Мир-работы
Х
Хобби-и-рукоделие
И
Искусство-и-развлечения
В
Взаимоотношения
З
Здоровье
К
Кулинария-и-гостеприимство
Ф
Финансы-и-бизнес
П
Питомцы-и-животные
О
Образование
О
Образование-и-коммуникации
NeZoX11111111
NeZoX11111111
30.05.2023 17:06 •  Математика

20

пользуясь переместительное и сочетательное свойства и выполни действия в наиболее удобном порядке​

👇
Ответ:
миньён9
миньён9
30.05.2023

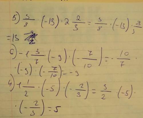
3/8:8/3=1*(-13)=-13

4,6(26 оценок)
Ответ:
budarnyypetr
budarnyypetr
30.05.2023

Как-то так аоаооааоаао


20 пользуясь переместительное и сочетательное свойства и выполни действия в наиболее удобном порядке
4,6(41 оценок)
Открыть все ответы
Ответ:
vinney
vinney
30.05.2023
Сечение сферы плоскостью есть окружность. Необходимо найти радиус этой окружности и по формуле длины окружности найти длину линии пересечения сферы плоскостью.
Обозначим центр искомой окружности точкой А, центр сферы точкой О, а точкой В обозначим любую точку на линии пересечения плоскости со сферой. Тогда получим прямоугольный треугольник ОАВ, где угол А=90°, ОВ - радиус сферы, ОА - расстояние от центра сферы до центра окружности.
По теореме Пифагора найдём АВ:
АВ=√(ОВ²-ОА²)=√(2,6²-2,4²)=√(6,76-5,76)=√1=1 дм
Далее по формуле длины окружности находим длину нашей линии:
l=2πR=2π*1=2π≈2*3,14≈6,28 дм.
4,7(52 оценок)
Ответ:
drfast555
drfast555
30.05.2023
Решение
y=x³ - x² + 2
Находим первую производную функции:
y' = 3x² - 2x
или
y' = x * (3x - 2)
Приравниваем ее к нулю:
3x² - 2x = 0
x(3x - 2) = 0
x₁ = 0
3x - 2 = 0
x₂ = 2/3
Вычисляем значения функции 
f(0) = 2
f(2/3) = 50/27
ответ: fmin = 50/27; fmax = 2
Используем достаточное условие экстремума функции одной переменной. Найдем вторую производную:
y'' = 6x - 2
Вычисляем:
y''(0) = - 2 < 0 - значит точка x = 0 точка максимума функции.
y''(2/3) = 2 > 0 - значит точка x = 2/3  точка минимума функции.

Значения функции y = x³ - x² + 2 в  точках х = 0 и х = 2/3
y(0) = 2
y(2/3) = (2/3)³ - (2/3)² + 2 = 50/27
4,8(66 оценок)
Новые ответы от MOGZ: Математика
logo
Вход Регистрация
Что ты хочешь узнать?
Спроси Mozg
Открыть лучший ответ