М
Молодежь
К
Компьютеры-и-электроника
Д
Дом-и-сад
С
Стиль-и-уход-за-собой
П
Праздники-и-традиции
Т
Транспорт
П
Путешествия
С
Семейная-жизнь
Ф
Философия-и-религия
Б
Без категории
М
Мир-работы
Х
Хобби-и-рукоделие
И
Искусство-и-развлечения
В
Взаимоотношения
З
Здоровье
К
Кулинария-и-гостеприимство
Ф
Финансы-и-бизнес
П
Питомцы-и-животные
О
Образование
О
Образование-и-коммуникации
Макс1111111f
Макс1111111f
03.03.2021 10:29 •  Математика

Решить показательное уравнение
4 пример из списка.
если что не понятно спрашивайте

👇
Ответ:
may12312
may12312
03.03.2021

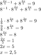
8^{\frac{2x}5-1}+8^{\frac{2x}5}=9\\8^{-1}\cdot8^{\frac{2x}5}+8^{\frac{2x}5}=9\\\\\frac18\cdot8^{\frac{2x}5}+8^{\frac{2x}5}=9\\\frac98\cdot8^{\frac{2x}5}=9\\8^{\frac{2x}5}=8\\\frac{2x}5=1\\2x=5\\x=2,5

4,5(77 оценок)
Открыть все ответы
Ответ:
nastiia4
nastiia4
03.03.2021
↓12 комбайнов   -   8 дней↑
↓8 комбайнов   -  х дней ↑
(обратная пропорциональность) 
12 : 8  = х: 8
8х=12*8
х=12   (дней) потребуется   8-ми комбайнам, чтобы убрать урожай
12-8 = 4 (дня)  разница

или
Объем работы  -  1 
1) 1:8 =  1/8   - производительность  12 комбайнов в день
2) 1/8  : 12 =  1/8  *   1/12= 1/ 96  - производительность одного комбайна
3) 1/96  *8 = 8/96= 1/12 -  производительность 8 комбайнов в день
4) 1 : 1/12 = 1/1  *  12/1 = 12 (дней) потребуется 8 комбайнам, чтобы убрать весь урожай
5) 12-8 =4 (дня) разница

ответ: на 4 дня позже намеченного срока закончат работу 8 комбайнов.
4,8(88 оценок)
Ответ:
kirill23710
kirill23710
03.03.2021
Путешествия Лемюэля Гулливера" Джонатана Свифта - обобщающая сатирическая картина современной европейской действительности
Свифт зло высмеивает человеческие пороки, смешные и печальные, которые, к сожалению, имеют глубокие социальные корни. Поэтому сатира Свифта действенна и в наши дни. Она потому и значительна, что глубоко серьезна и преследует высокие идейные цели. Джонатан Свифт искал истину современного ему мира. «Путешествия Лемюэля Гулливера» - пародийная имитация, с одной стороны, поиск и открытие истины, с другой. Свифт полагал, что его первая задача - приблизиться к духовной жизни века и разобраться в ней. Он говорит с читателями о религии, но не на непонятном языке богословов; о политике, но не на партийном жаргоне, непонятном для большинства; о литературе, но без заносчивости и самодовольства.

Велико произведение «Путешествия Лемюэля Гулливера» тем, что оно глубоко обобщено. Все вещи, описанные Джонатаном Свифтом, имеют черты и действия современников автора. Он не мог бить врага открыто, потому и наступал на него посредством намеков, аналогий и аллегорий.

Сатира Свифта направлена против Английского правительства и церкви XVII-XVIII веков. Это - гротескное осмеяние общественного строя и политики господствующих классов.

Ситуация оказывается таковой, картина действительности, в которой не ненормальны не лилипуты или великаны, а пришелец - Гулливер. В первом случае он ненормален, потому что, он, даже при искреннем желании, не может жить лилипутской жизнью. Во втором - он англичанин, европеец, человек нового времени.
Лилипутия - Англия, англичанин - лилипут. Фантастика первых двух путешествий иронический прием, коснувшийся всех норм - житейских, государственных, даже житейских. Нравственные понятия не исчезают. Царство лилипутов - не только сказочное, но еще и кукольное, Гулливер по большей части и описывает свои игры и забавы в ожившем кукольном мире и описывает это в самых серьезных выражениях.

Свифт пишет: «Читатель и сам догадается, что ученые не пришли ни к какому единодушному выводу, и все их предположения, которых, впрочем, я хорошенько не понял, были весьма далеки от истины». [2;23] Это Свифт сводит старые счеты с учеными, которых лучше называть лжеучеными.
Хохочет Свифт над придворными «развлечениями» , которые являются подхалимством и замаскированы под видом «акробатического искусства» . Император держит в руках полку в горизонтальном положении, а приближенные, то перепрыгивают через нее, то проползают под ней, смотря по тому, поднята полка или опущена. Кто с наибольшей ловкостью исполнит эти упражнения, тот получит синюю нитку, которую будет носить в виде пояса (Цвета нити - цвета английских орденов Подвязки, Бани и святого Андрея) . Свифт издевательски добавляет, что ничего подобного ни в Новом, ни в Старом свете ему видеть не доводилось.
Крохотные человечки «дарят» Человеку-горе свободу, который одной ногой, мог разрушить их столицу, а если бы пустился в пляс, то и все население. Любому читателю, хочется задать вопрос, почему лилипуты так надменно, бесцеремонно обращаются с великаном, обыскивают, диктуют ему приказы, и это несмотря на то, что целая армия проходила маршем у него между ногами?
Вот в этом и есть глубокая жизненная правда - этим и велико произведение Свифта, что оно обобщено.
Разве кучка правителей не держит в скованном состоянии целые народы? , которые могли их раздавить, как Гулливер лилипутов?
Джонатан Свифт, был не добрым сказочником, а остроумным журналистом, язвительным сатириком, практичным политиком и честолюбивым придворным. Свифт, жизнь которого была полна взлетов и падений, надежд и разочарований, вообще слыл желчным человеком и мизантропом.Источник: В первую очередь, «Путешествия Гулливера» - сатирический роман, в котором современники без труда узнавали высмеиваемых Свифтом государей и придворных, политиков и общественные институты, реалии быта и нравы различных слоев населения. Однако одновременно «Гулливер» - и роман-путешествие, в котором живо, увлекательно описаны невероятные приключения его героя в заморских странах, и фантастический роман, в котором герой сталкивается с невероятными персонажами и событиями. И в то же время это - философская притча, в которой писатель делится своими неутешительными наблюдениями за человеческой природой. Благодаря такой «многослойности» «Путешествия Гулливера» с равным интересом читают в детстве, и в зрелом возрасте, и в пожилые годы - каждый находит для себя в книге что-то важное и интересное
4,8(57 оценок)
Это интересно:
Новые ответы от MOGZ: Математика
logo
Вход Регистрация
Что ты хочешь узнать?
Спроси Mozg
Открыть лучший ответ