М
Молодежь
К
Компьютеры-и-электроника
Д
Дом-и-сад
С
Стиль-и-уход-за-собой
П
Праздники-и-традиции
Т
Транспорт
П
Путешествия
С
Семейная-жизнь
Ф
Философия-и-религия
Б
Без категории
М
Мир-работы
Х
Хобби-и-рукоделие
И
Искусство-и-развлечения
В
Взаимоотношения
З
Здоровье
К
Кулинария-и-гостеприимство
Ф
Финансы-и-бизнес
П
Питомцы-и-животные
О
Образование
О
Образование-и-коммуникации
kabulbekova01
kabulbekova01
06.09.2020 21:38 •  Математика

Найдите k из тождественного равенства x3+6x2+kx+12=(x+4)(x2+ax+3)

👇
Ответ:
sprotopopov1
sprotopopov1
06.09.2020

x^3+6x^2+kx+12=(x+4)(x^2+ax+3)

x^3+6x^2+kx+12=x^3+4x^2+ax^2+4ax+3x+12

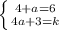
x^3+6x^2+kx+12=x^3+(4+a)x^2+(4a+3)x+12

\left \{ {{4+a=6} \atop {4a+3=k}} \right.

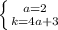
\left \{ {{a=6-4} \atop {k=4a+3}} \right.

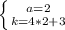
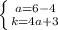
\left \{ {{a=2} \atop {k=4a+3}} \right.

\\ \left \{ {{a=2} \atop {k=4*2+3}} \right.

k=4*2+3

k=8+3

k=11

4,5(23 оценок)
Открыть все ответы
Ответ:
tylkinavaleriya
tylkinavaleriya
06.09.2020
Мой город Ворсма. Я люблю свой город ведь я там родилась (ся) . Для каждого свой город важен и каждый гордится своим городом. У меня в городе очень красиво чисто а главно уютно . В моем городе очень много людей ( или у тебя мало ) и все люди у нас добрые . Я патриот своего города ведь мой город такой прекрасный. И в 2007 году началось восстановление островоезерского монастыря . И в Ворсме есть реки красивые здания,дома. И в Ворсму приезжают туристы ведь в Ворсме очень красиво. Я горжусь своим городом.
Надеюсь
4,7(30 оценок)
Ответ:
vasakaktakovlwla
vasakaktakovlwla
06.09.2020
80% = 80/100 = 0,8
Пусть х учеников - в одном классе, тогда (90 - х) учеников - в другом.
Уравнение: х - 4 = 0,8 * (90 - х + 4)
                    х - 4 = 0,8 * (94 - х)
                    х - 4 = 75,2 - 0,8х
                    х + 0,8х = 75,2 + 4
                    1,8х = 79,2
                    х = 79,2 : 1,8
                    х = 44 ученика было в одном классе
                    90 - 44 = 46 учеников было в другом
ответ: 44 ученика и 46 учеников.

Проверка:
44 - 4 = 0,8 * (46 + 4)
40 = 0,8 * 50
40 = 40
4,4(95 оценок)
Новые ответы от MOGZ: Математика
logo
Вход Регистрация
Что ты хочешь узнать?
Спроси Mozg
Открыть лучший ответ