М
Молодежь
К
Компьютеры-и-электроника
Д
Дом-и-сад
С
Стиль-и-уход-за-собой
П
Праздники-и-традиции
Т
Транспорт
П
Путешествия
С
Семейная-жизнь
Ф
Философия-и-религия
Б
Без категории
М
Мир-работы
Х
Хобби-и-рукоделие
И
Искусство-и-развлечения
В
Взаимоотношения
З
Здоровье
К
Кулинария-и-гостеприимство
Ф
Финансы-и-бизнес
П
Питомцы-и-животные
О
Образование
О
Образование-и-коммуникации
Alla950
Alla950
05.09.2021 10:42 •  Математика

Решите пример по математике,очень надо

👇
Ответ:
matvirucom80
matvirucom80
05.09.2021

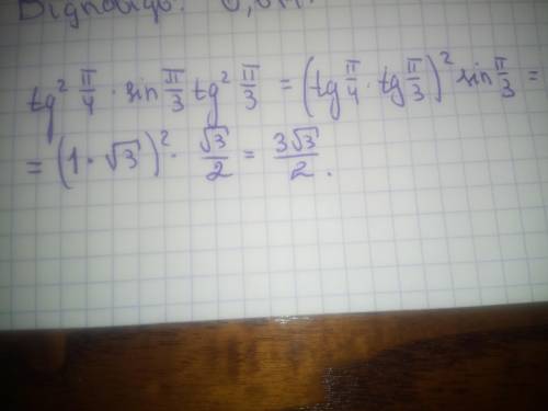
Решение задания приложено


Решите пример по математике,очень надо
4,8(4 оценок)
Открыть все ответы
Ответ:
Пенёк155
Пенёк155
05.09.2021

1. Общая длина границы государства - 524+1244+1310+460=3538

2. Узнаём сколько процентов составляет морская граница от сухопутной. Что бы это узнать, нужно разделить длину морской границы на сумму остальных границ и умножить на 100 (разделить меньшее на большее и умножить на 100): 524:3538*100≈14.8%

3. Узнаём сколько процентов от всей границы составляет границы с государством A. Что бы это узнать, нужно разделить длину границы государства А на сумму длин остальных границ и умножить на 100 (разделить меньшее на большее и умножить на 100): 460:3538*100≈13%

4,8(28 оценок)
Ответ:
mrpersik1
mrpersik1
05.09.2021

1.  Неразвитая форма финансов. Основная масса денежных средств расходовалась на военные цели и практически не оказывала воздействия на экономику. Финансы носили непроизводственный характер. Финансовая система состояла из одного звена — бюджетного, количество финансовых отношений было ограничено.

2.  Многозвенность финансовых систем, высокая степень воздействия на экономику, большое разнообразие финансовых отношений. Финансы становятся одним из важнейших орудий косвенного воздействия на отношения общественного воспроизводства: воспроизводства материальных благ, рабочей силы и производственных отношений.

4,4(13 оценок)
Новые ответы от MOGZ: Математика
logo
Вход Регистрация
Что ты хочешь узнать?
Спроси Mozg
Открыть лучший ответ