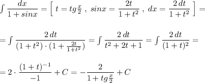
![\int \dfrac{dx}{1+sinx}=\Big[\; t=tg\frac{x}{2}\; ,\; sinx=\dfrac{2t}{1+t^2}\; ,\; dx=\dfrac{2\, dt}{1+t^2}\; \Big]=\\\\\\=\int\dfrac{2\, dt}{(1+t^2)\cdot (1+\frac{2t}{1+t^2})}=\int \dfrac{2\, dt}{t^2+2t+1}=\int \dfrac{2\, dt}{(1+t)^2}=\\\\\\=2\cdot \dfrac{(1+t)^{-1}}{-1}+C=-\dfrac{2}{1+tg\frac{x}{2}}+C](/tpl/images/1086/8426/2cdeb.png)

Пошаговое объяснение:
Всё решается согласно признакам делимости.
Признак делимости на 9:
число делится на 9, когда сумма цифр этого числа делится на 9.
3540 - 3+5+4+0=12; 12/9=4/3⇒не делится.
2601 - 2+6+0+1=9; 9/9=1⇒делится.
7335 - 7+3+3+5=18; 18/9=2⇒делится.
6228 - 6+2+2+8=18; 18/9=2⇒делится.
4023 - 4+0+2+3=9; 9/9=1⇒делится.
5949 - 5+9+4+9=27; 27/9=3⇒делится.
Значит множество 3540 уже не подходит.
Признак делимости на 2:
число делится на 2, когда последняя цифра этого числа является чётной.
2601 - последняя цифра 1 - нечётная⇒не делится.
7335 - последняя цифра 5 - нечётная⇒не делится.
6228 - последняя цифра 8 - чётная⇒делится.
4023 - последняя цифра 3 - нечётная⇒не делится.
5949 - последняя цифра 9 - нечётная⇒не делится.
Ещё одно множество 6228 не подходит.
Признак делимости на 5:
число делится на 5, когда последняя цифра этого числа равна 0 или 5.
2601 - последняя цифра 1≠0, 1≠5⇒не делится.
7335 - последняя цифра 5≠0, 5=5⇒делится.
4023 - последняя цифра 3≠0, 3≠5⇒не делится.
5949 - последняя цифра 9≠0, 9≠5⇒не делится.
ответ: множества 2601; 4023; 5949.